Free Access

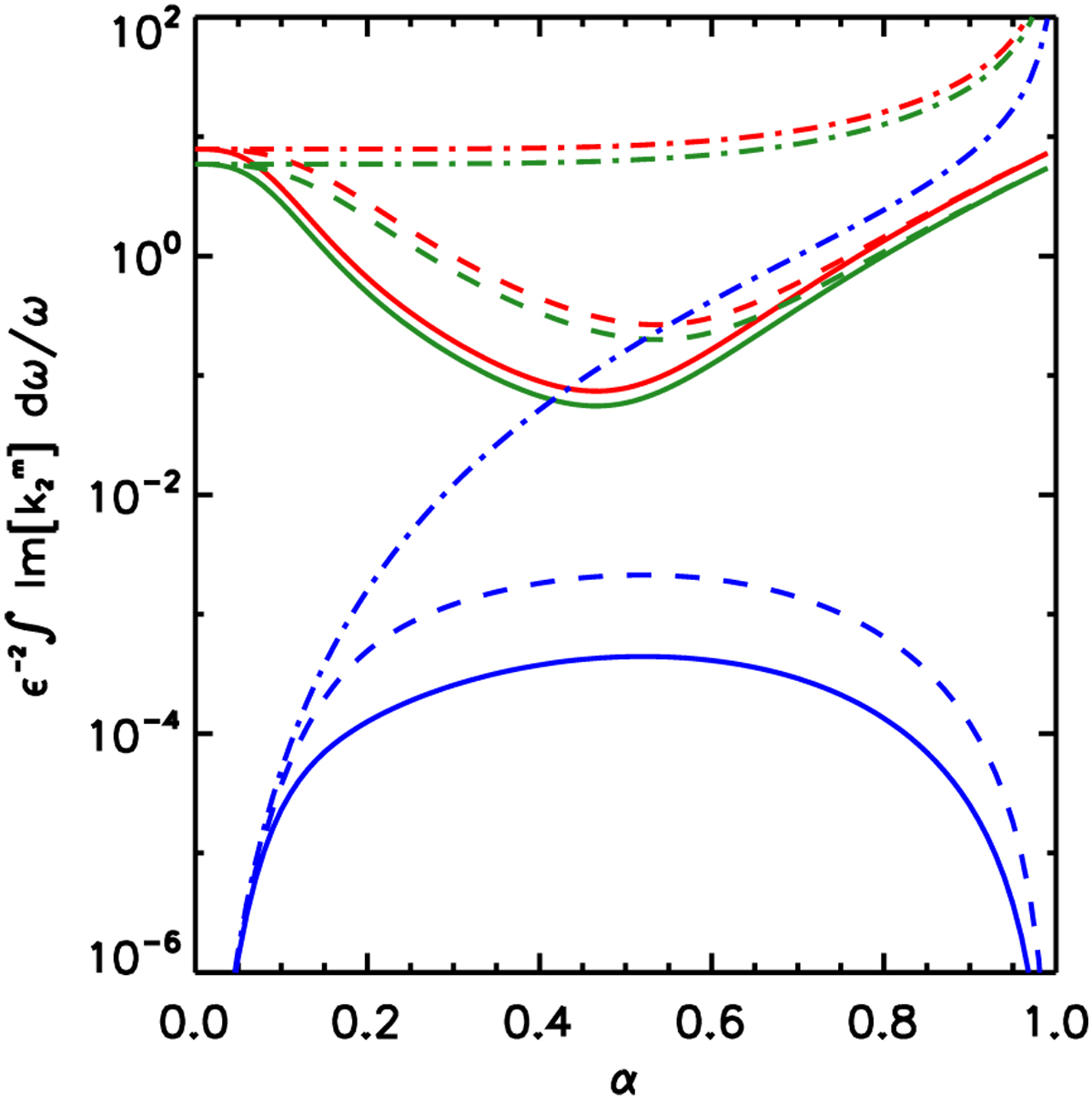
Fig. 5

image

Frequency-integral of the imaginary part of the Love numbers, weighted by 1∕ω and divided by ϵ2, versus fractional core size for the quadrupolar component l = 2. The colour of the lines corresponds to different values of m: m = 0 (red), m = 1 (green), and m = 2 (blue). The dashed-dotted line shows the analytical result of the impulse calculation for a homogeneous fluid body with a solid core. The dashed line shows the same but in the case of the piecewise-homogeneous fluid model with a density ratio of 2 × 10−2, adequatefor a solar mass star on the main sequence. The solid line corresponds again to the piecewise-homogeneous fluid model but with a density ratio of 4 × 10−3, appropriate for a 1.2 M mass star on the main sequence.

Current usage metrics show cumulative count of Article Views (full-text article views including HTML views, PDF and ePub downloads, according to the available data) and Abstracts Views on Vision4Press platform.

Data correspond to usage on the plateform after 2015. The current usage metrics is available 48-96 hours after online publication and is updated daily on week days.

Initial download of the metrics may take a while.