Open Access

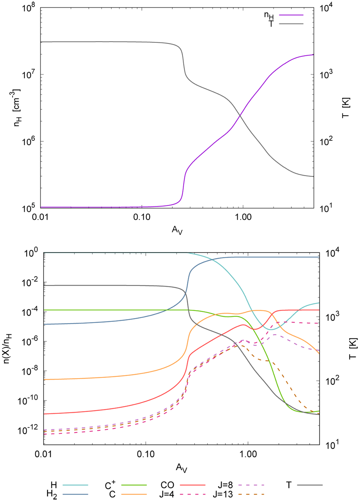
Fig. 12

image

Example of density and temperature profiles computed by the Meudon PDR code for a model with P = 3.5 × 108 K cm−3, GUV = 2 × 104 and with a total depth AV = 10. Top panel: proton density and gas temperature profiles. Bottom panel: relative densities of H, H2, C+, C and CO aswell as the relative densities of CO J = 4, 8 and 13.

Current usage metrics show cumulative count of Article Views (full-text article views including HTML views, PDF and ePub downloads, according to the available data) and Abstracts Views on Vision4Press platform.

Data correspond to usage on the plateform after 2015. The current usage metrics is available 48-96 hours after online publication and is updated daily on week days.

Initial download of the metrics may take a while.