Free Access

Fig. B.2

image

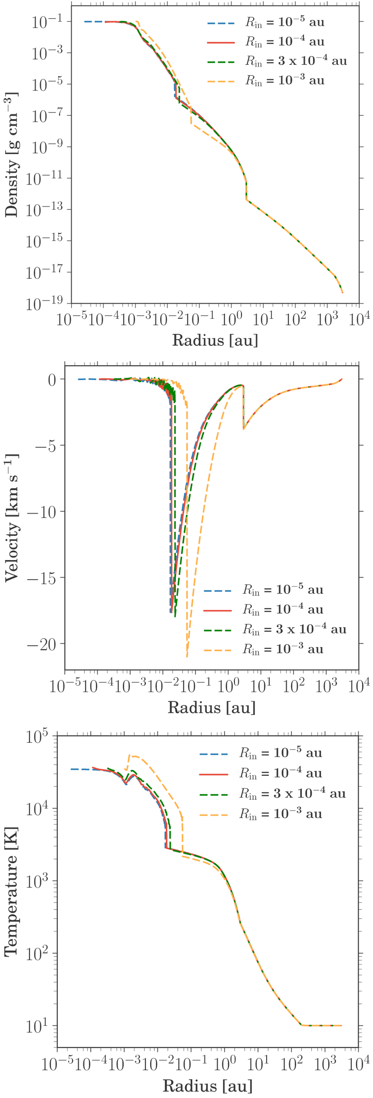
Radial profiles of the density, velocity, and gas temperature for an initial 1 M cloud are shown at a time step after the second core formation. The different lines indicate the results each using a different inner radius of the cloud. The dashed blue line indicates 10−5 au, the red line indicates 10−4 au, the dashed green line indicates 3 × 10−4 au, and the dashed yellow line indicates 10−3 au.

Current usage metrics show cumulative count of Article Views (full-text article views including HTML views, PDF and ePub downloads, according to the available data) and Abstracts Views on Vision4Press platform.

Data correspond to usage on the plateform after 2015. The current usage metrics is available 48-96 hours after online publication and is updated daily on week days.

Initial download of the metrics may take a while.