Free Access

Fig. 6

image

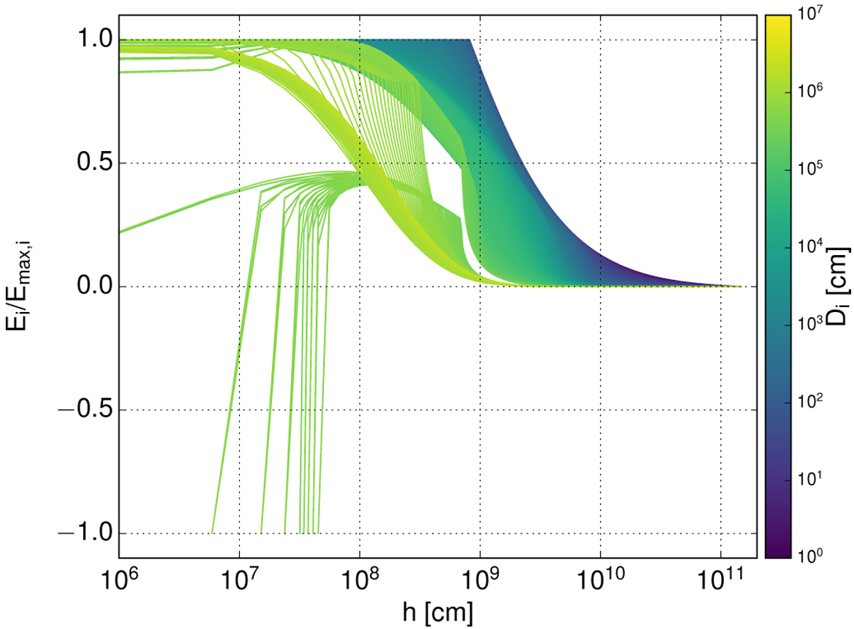
Energy dissipation per mass bin in units of Emax into the atmosphere of a protoplanet with 1 M. The colours represent a bolide grid ranging from D0 = 1 cm (purple) to D0 = 100 km (yellow) with NB = 701 mass bins. The total energy input is dominated by large bodies. Some bolide cool the atmosphere owing to phase transitions from solid to liquid.

Current usage metrics show cumulative count of Article Views (full-text article views including HTML views, PDF and ePub downloads, according to the available data) and Abstracts Views on Vision4Press platform.

Data correspond to usage on the plateform after 2015. The current usage metrics is available 48-96 hours after online publication and is updated daily on week days.

Initial download of the metrics may take a while.