Free Access

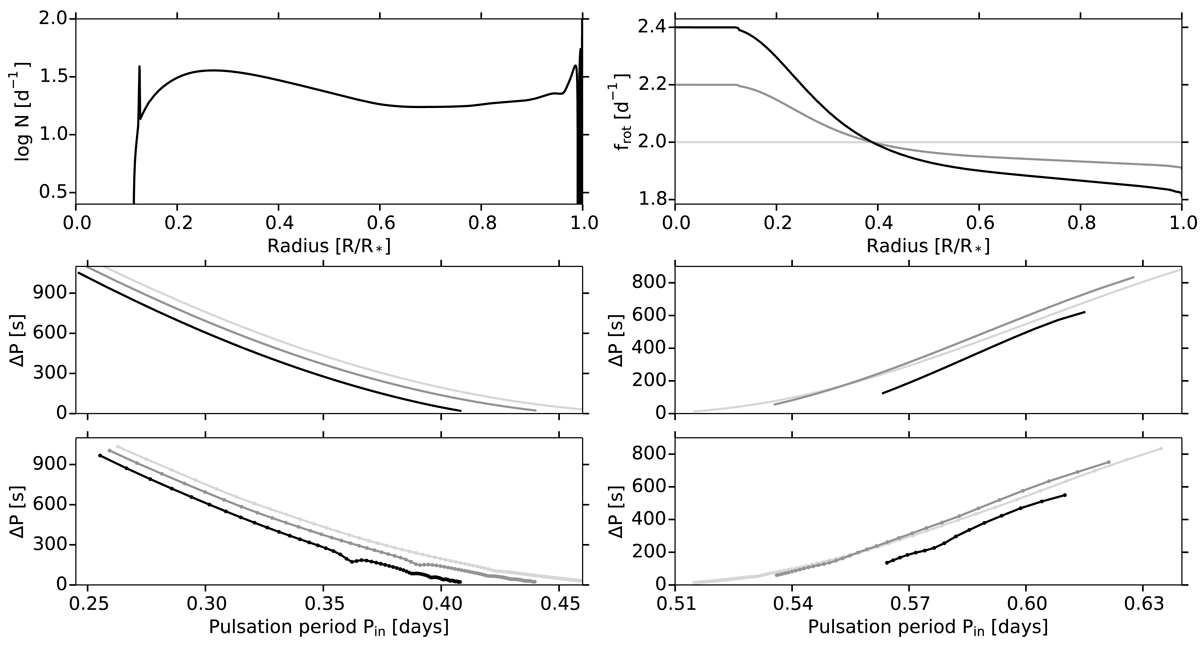
Fig. 1.

image

1.7 M stellar model at Xc = 0.7 with frot,s = 2 d−1 and δ f = 0.0 (light grey), 0.1 (grey), and 0.2 (black). Top left: the Brunt-Väisälä frequency profile. Top right: the considered stellar rotation profiles. Left panels: the corresponding gravito-inertial mode pulsations with (k, m)=(+0, +1), computed from Eq. (3) (middle) and with GYRE v5.1 (bottom). Right panels: the corresponding gravito-inertial mode pulsations with (k, m)=(−2, −1), computed from Eq. (3) (middle) and with GYRE v5.1 (bottom).

Current usage metrics show cumulative count of Article Views (full-text article views including HTML views, PDF and ePub downloads, according to the available data) and Abstracts Views on Vision4Press platform.

Data correspond to usage on the plateform after 2015. The current usage metrics is available 48-96 hours after online publication and is updated daily on week days.

Initial download of the metrics may take a while.