Free Access

Fig. 2.

image

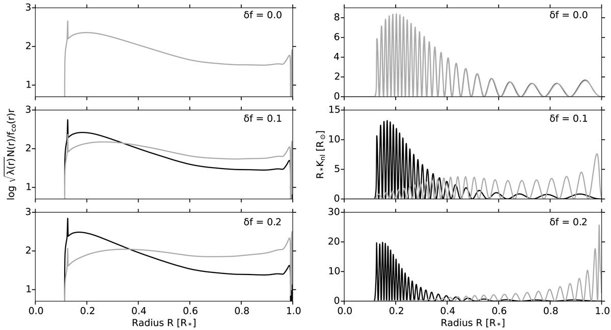
Pulsation mode cavities of the gravito-inertial mode pulsations with (n, k, m)=(−25, +0, +1) (black) and (n, k, m)=(−25, −2, −1) (grey) for the 1.7 M stellar model at Xc = 0.7 with frot,s = 2 d−1, shown in Fig. 1. Both the integrand of Eq. (3) (left panels) and the rotation kernel Knl (computed following Eq. (3.356) in Aerts et al. (2010); (right panels) are shown for differential rotation rates δf = 0.0 (top panels), 0.1 (middle panels), and 0.2 (bottom panels).

Current usage metrics show cumulative count of Article Views (full-text article views including HTML views, PDF and ePub downloads, according to the available data) and Abstracts Views on Vision4Press platform.

Data correspond to usage on the plateform after 2015. The current usage metrics is available 48-96 hours after online publication and is updated daily on week days.

Initial download of the metrics may take a while.