Free Access

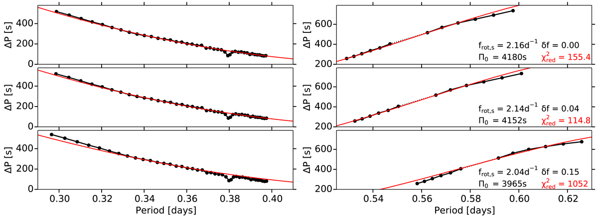
Fig. 5.

image

Simulated period spacing patterns for different rotation profiles (top, middle, bottom) based on the observations for KIC 12066947 (black dots). The input parameters for the simulations (with non-rigid rotation) are shown in black on the right, while the of the best model with rigid rotation (full red line) is also given. Both the prograde dipole modes (with (k, m) = (0,1); left) and the r-modes (with (k, m) = (−2,−1); right) are shown.

Current usage metrics show cumulative count of Article Views (full-text article views including HTML views, PDF and ePub downloads, according to the available data) and Abstracts Views on Vision4Press platform.

Data correspond to usage on the plateform after 2015. The current usage metrics is available 48-96 hours after online publication and is updated daily on week days.

Initial download of the metrics may take a while.