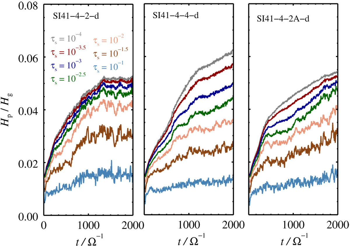
Fig. 12

Particle scale height evolution of runs SI41-4-2-d, SI41-4-4-d, and SI41-4-2A-d, where the participating particles are τs = 10−4−10−1. Left panel: simulation in a box of 0.2 × 0.2 Hg. Middle panel: evolution of the same system in a 0.4 × 0.4 Hg box, where the particle scale heights saturate to different values relative to the smaller box. Right panel: the total particle number was increased by a factor of four from the model in the left-most panel. In runs SI41-4-4-d and SI41-4-2A-d the particle subdisks do not saturate to a constant height within the simulation time.
Current usage metrics show cumulative count of Article Views (full-text article views including HTML views, PDF and ePub downloads, according to the available data) and Abstracts Views on Vision4Press platform.
Data correspond to usage on the plateform after 2015. The current usage metrics is available 48-96 hours after online publication and is updated daily on week days.
Initial download of the metrics may take a while.