Free Access

Fig. 14

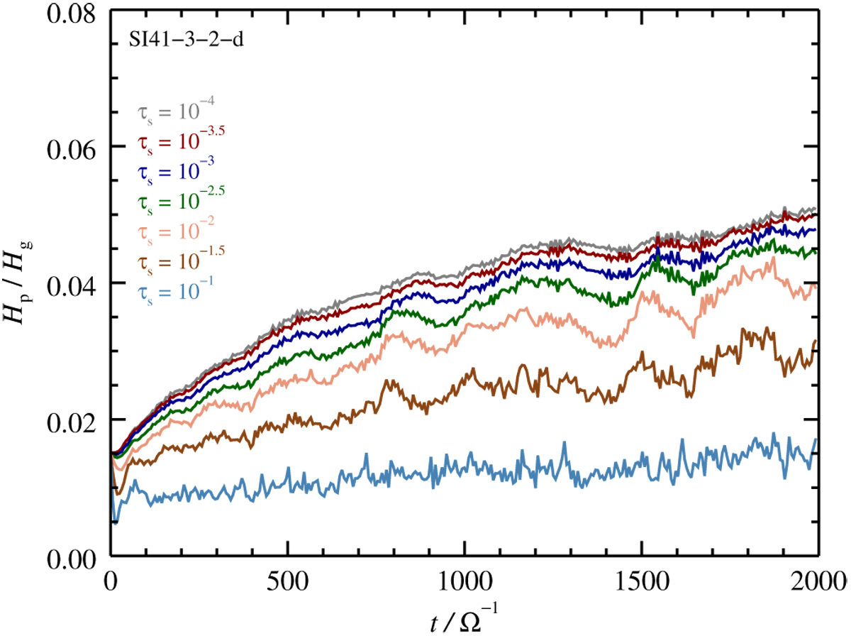
image

Particle scale height evolution of run SI41-3-2-d in a 0.2 × 0.2 Hg simulation box. The particle species do not reach a constant scale height within the simulation time. Compared to the plot on the left-hand side of Fig. 12, where the power-law index of the distribution q = 4, the particle layers extend to similar scale heights.

Current usage metrics show cumulative count of Article Views (full-text article views including HTML views, PDF and ePub downloads, according to the available data) and Abstracts Views on Vision4Press platform.

Data correspond to usage on the plateform after 2015. The current usage metrics is available 48-96 hours after online publication and is updated daily on week days.

Initial download of the metrics may take a while.