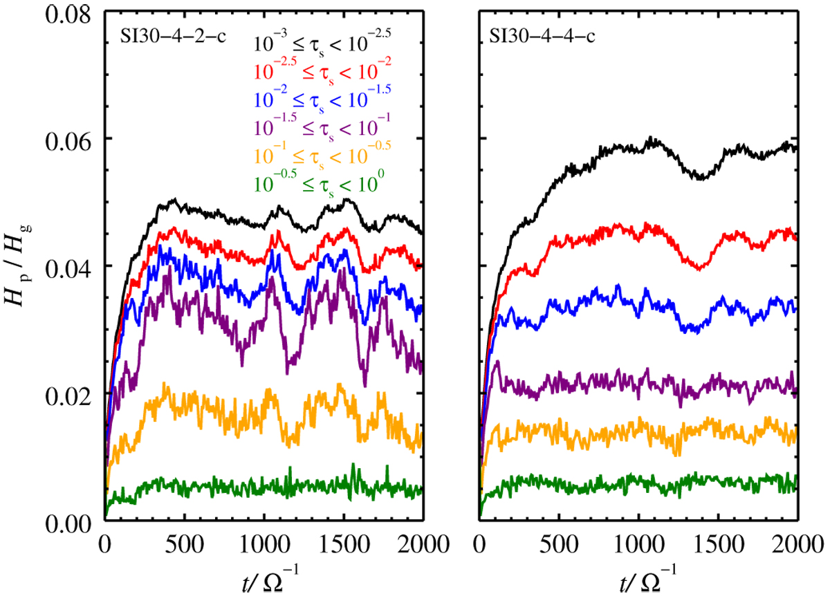
Fig. 15

Particle scale height evolution of run SI30-4-2-c and run SI30-4-4-c. Each particle in the simulation has a unique size within the given size range. Particles are grouped into six size bins for illustration purposes. To ensure that the diffusion of the small particles is not limited by the simulation box, we performed the same simulation in a 0.4 × 0.4Hg box in the right panel. The scale heights of the large particles converge while the smallest species saturate to a larger Hp than in the left panel.
Current usage metrics show cumulative count of Article Views (full-text article views including HTML views, PDF and ePub downloads, according to the available data) and Abstracts Views on Vision4Press platform.
Data correspond to usage on the plateform after 2015. The current usage metrics is available 48-96 hours after online publication and is updated daily on week days.
Initial download of the metrics may take a while.