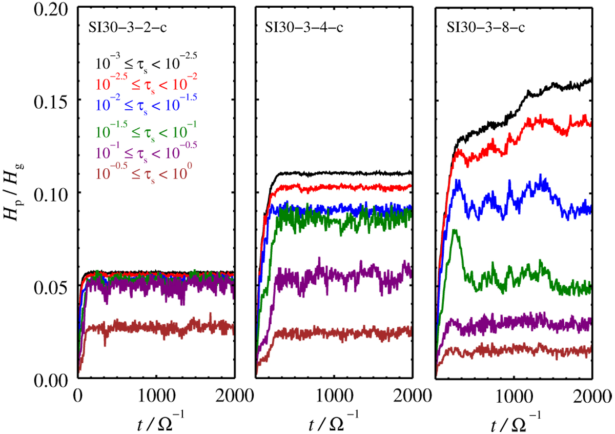
Fig. 17

Particle scale height evolution of run SI30-3-2-c, run SI30-3- 4-c, and run SI30-3-8-c. Panels (from left to right): evolution of the system in simulation boxes of 0.2 × 0.2 Hg, 0.4 × 0.4 Hg, and 0.8 × 0.8 Hg, respectively. The largest particles converge to the same height in the first two cases, but particles with τs < 10−1 are diffused to heights larger by about a factor of two. The panel on the right, where the simulation box size is the largest, shows unusual non-convergent behavior due to the development of shock-like patterns in the radial component of the gas velocity (discussed in Appendix A).
Current usage metrics show cumulative count of Article Views (full-text article views including HTML views, PDF and ePub downloads, according to the available data) and Abstracts Views on Vision4Press platform.
Data correspond to usage on the plateform after 2015. The current usage metrics is available 48-96 hours after online publication and is updated daily on week days.
Initial download of the metrics may take a while.