Free Access
Fig. 18

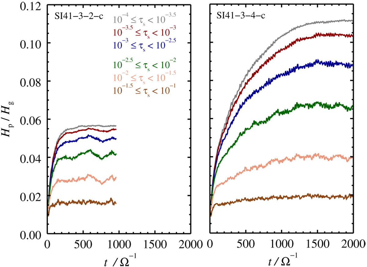
Particle scale height evolution of runs SI41-3-2-c and SI41-3-4-c. The particle scale height of the small species increases by a factor of two when changing the dimensions from 0.2 × 0.2 Hg in the left panel to 0.4 × 0.4 Hg in the right panel, while that of the largest particles converges to about the same height.
Current usage metrics show cumulative count of Article Views (full-text article views including HTML views, PDF and ePub downloads, according to the available data) and Abstracts Views on Vision4Press platform.
Data correspond to usage on the plateform after 2015. The current usage metrics is available 48-96 hours after online publication and is updated daily on week days.
Initial download of the metrics may take a while.