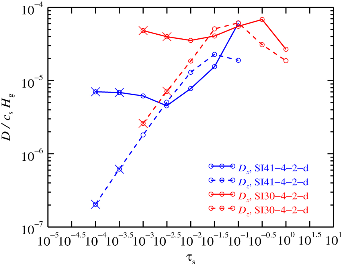
Fig. 23

Radial and vertical diffusion coefficients with respect to Stokes number for runs SI41-4-2-d and SI30-4-2-d. Here, Dx is approximately constant for small Stokes numbers and increases with increasing particle size as τs ≥ 10−2.5 in the case of run SI41-4-2-d. The vertical diffusion coefficient increases with particle size until τs ≈ 10−1.5. Above this value it decreases as the particles are less coupled to the gas. Both the radial and vertical diffusion coefficients are higher in the case of run SI30-4-2-d, since this model is more abundant in solids with τs ≳ 10−2 which are responsible for triggering the streaming instability. The diffusion coefficients corresponding to species that saturate to scale heights similar to the maximum allowed scale height in the box are marked with a cross.
Current usage metrics show cumulative count of Article Views (full-text article views including HTML views, PDF and ePub downloads, according to the available data) and Abstracts Views on Vision4Press platform.
Data correspond to usage on the plateform after 2015. The current usage metrics is available 48-96 hours after online publication and is updated daily on week days.
Initial download of the metrics may take a while.