Fig. 27

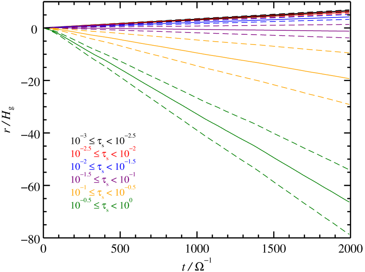
Evolution of particle radial positions with respect to time in the case of run SI30-3-2-c. Since the particles are distributed continuously in terms of their size, we grouped them into six particle size bins. The mean position of the particles in a given size range is marked by the solid curves, while the dashed curves mark the spread of particle positions by differential radial drift and diffusion. Particles with τs ≥ 10−1 drift and diffuse inwards, while particles of τs ≤ 10−1.5 tend to move outwards in the disk. The spreading of each particle species is in fact dominated by the differential radial drift insteadof diffusion.
Current usage metrics show cumulative count of Article Views (full-text article views including HTML views, PDF and ePub downloads, according to the available data) and Abstracts Views on Vision4Press platform.
Data correspond to usage on the plateform after 2015. The current usage metrics is available 48-96 hours after online publication and is updated daily on week days.
Initial download of the metrics may take a while.