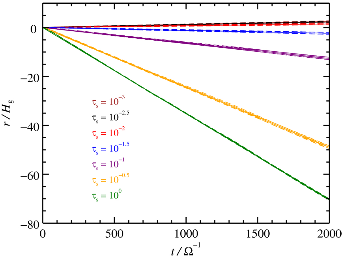
Fig. 28

Evolution of particle radial positions with respect to time in the case of run SI30-3-2-d. The smallest species drift outwards, while species with sizes τs > 10−2 drift inwards. Compared to the run with continuous size distribution shown in Fig. 27 the spreading of the positions is smaller because of the lack of differential radial drift in these discrete species. Differential radial drift is therefor completely dominant in spreading the size distribution of particles.
Current usage metrics show cumulative count of Article Views (full-text article views including HTML views, PDF and ePub downloads, according to the available data) and Abstracts Views on Vision4Press platform.
Data correspond to usage on the plateform after 2015. The current usage metrics is available 48-96 hours after online publication and is updated daily on week days.
Initial download of the metrics may take a while.