Free Access

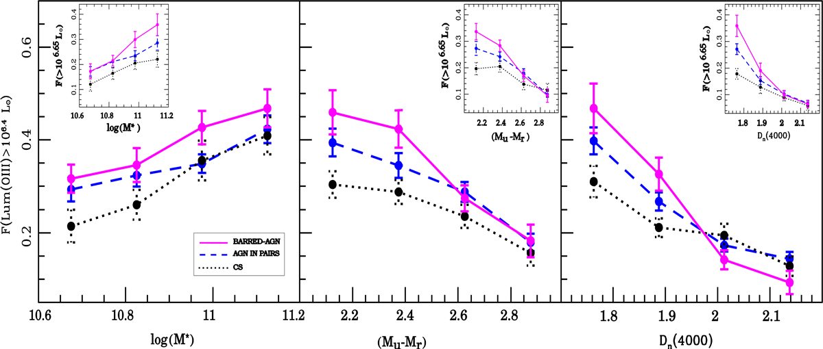
Fig. 5.

image

Fraction of Lum[OIII] > 106.4 L as a function of stellar mass, (MuMr) color, and Dn(4000) parameter (left, middle and right panels, respectively), for barred AGN galaxies (solid lines), AGN in pair systems (dashed lines), and unbarred AGN in the control sample (dotted lines). Each bin for each sample contains a similar number of galaxies. The number average of galaxies in each bin is ≈105 for barred-agn ≈310 for agn in pairs and ≈140 for CS. The small boxes correspond to the fraction of Lum[OIII] > 106.65 L as a function of the same parameters.

Current usage metrics show cumulative count of Article Views (full-text article views including HTML views, PDF and ePub downloads, according to the available data) and Abstracts Views on Vision4Press platform.

Data correspond to usage on the plateform after 2015. The current usage metrics is available 48-96 hours after online publication and is updated daily on week days.

Initial download of the metrics may take a while.