Open Access

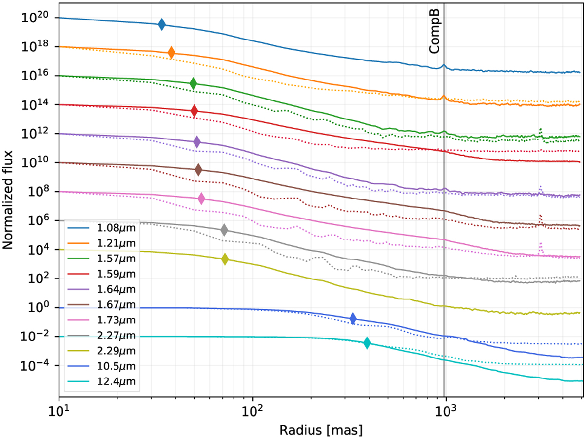
Fig. 4

image

Solidlines: mean radial profile of the non-deconvolved SPHERE and VISIR images of WR104. All profiles are shifted for readability reasons. Dotted lines: radial profiles of the PSF reference star. The diamonds indicate the theoretical angular resolution of the 8 m telescope at the given wavelength. We also show the position of the companion B star of WR104 (vertical line) for information (see Sect. 5.3).

Current usage metrics show cumulative count of Article Views (full-text article views including HTML views, PDF and ePub downloads, according to the available data) and Abstracts Views on Vision4Press platform.

Data correspond to usage on the plateform after 2015. The current usage metrics is available 48-96 hours after online publication and is updated daily on week days.

Initial download of the metrics may take a while.