Open Access

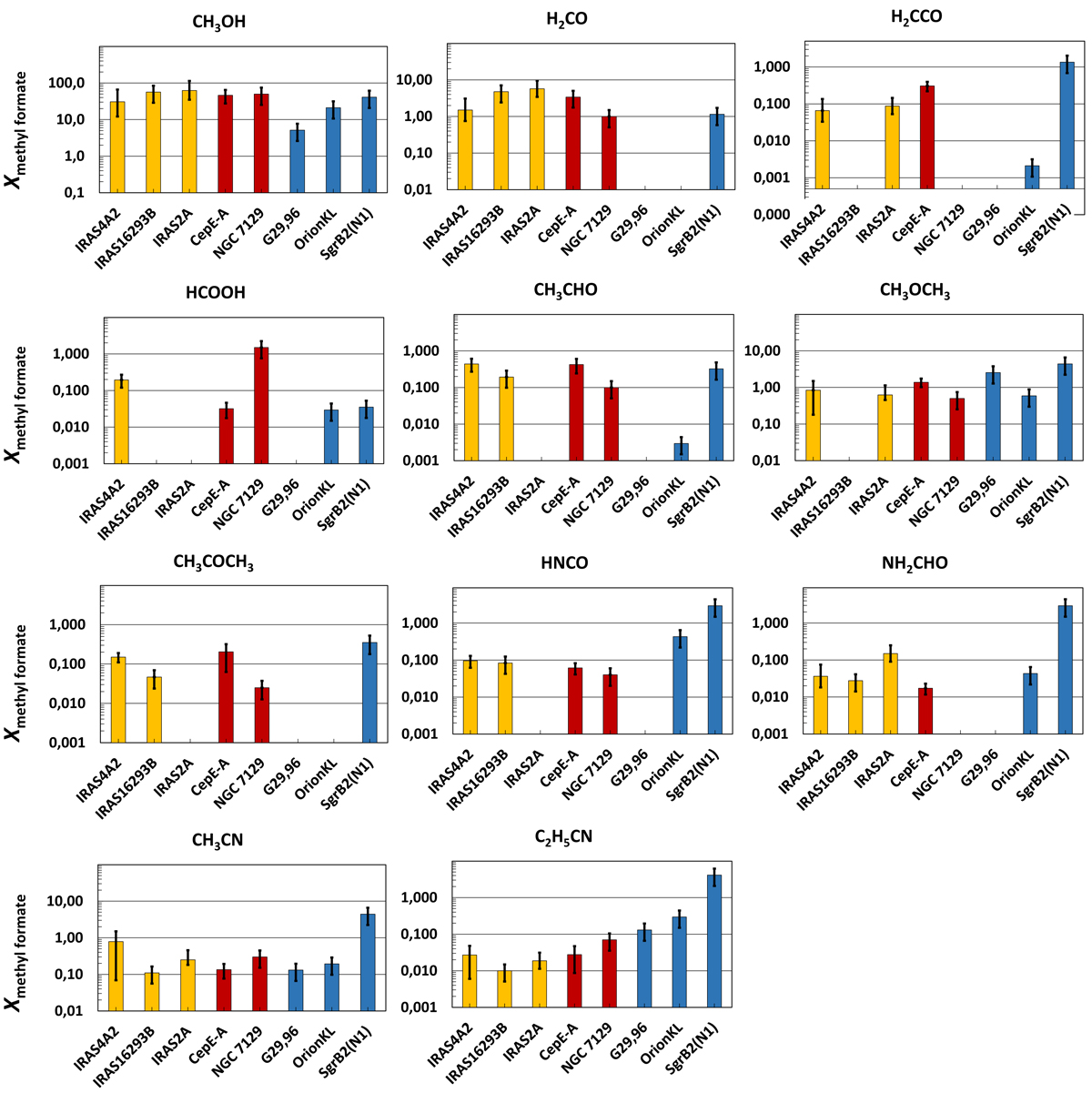
Fig. 10.

image

Molecular abundances with respect to methyl formate towards low-mass hot corinos (yellow): IRAS2A (Taquet et al. 2015) and IRAS4A2 in NGC 1333 (Taquet et al. 2015; López-Sepulcre et al. 2017), IRAS16293B (Jørgensen et al. 2016; Coutens et al. 2016; Lykke et al. 2017; Calcutt et al. 2018); the intermediate-mass protostars (red): Cep E-A (this work) and NGC 7129 (Fuente et al. 2014); the high-mass hot cores (blue): G29.96 (Beuther et al. 2009), Orion KL (Pagani et al. 2017; Beuther et al. 2009) and SgrB2(N1) (Belloche et al. 2013). Sources are ordered from left to right by increasing luminosity.

Current usage metrics show cumulative count of Article Views (full-text article views including HTML views, PDF and ePub downloads, according to the available data) and Abstracts Views on Vision4Press platform.

Data correspond to usage on the plateform after 2015. The current usage metrics is available 48-96 hours after online publication and is updated daily on week days.

Initial download of the metrics may take a while.