Free Access

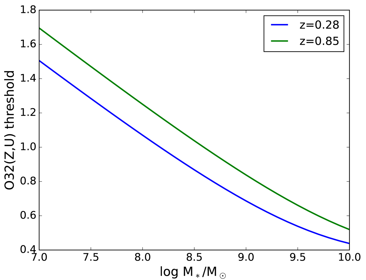
Fig. 12.

image

Metallicity-dependent O32 threshold as a function of stellar mass, for the minimum and maximum redshift of our sample, derived using the redshift-dependent MZ relation of Zahid et al. (2014) and the O32 ratio from photo-ionisation models from Gutkin et al. (2016) (see the text for details).

Current usage metrics show cumulative count of Article Views (full-text article views including HTML views, PDF and ePub downloads, according to the available data) and Abstracts Views on Vision4Press platform.

Data correspond to usage on the plateform after 2015. The current usage metrics is available 48-96 hours after online publication and is updated daily on week days.

Initial download of the metrics may take a while.