Open Access

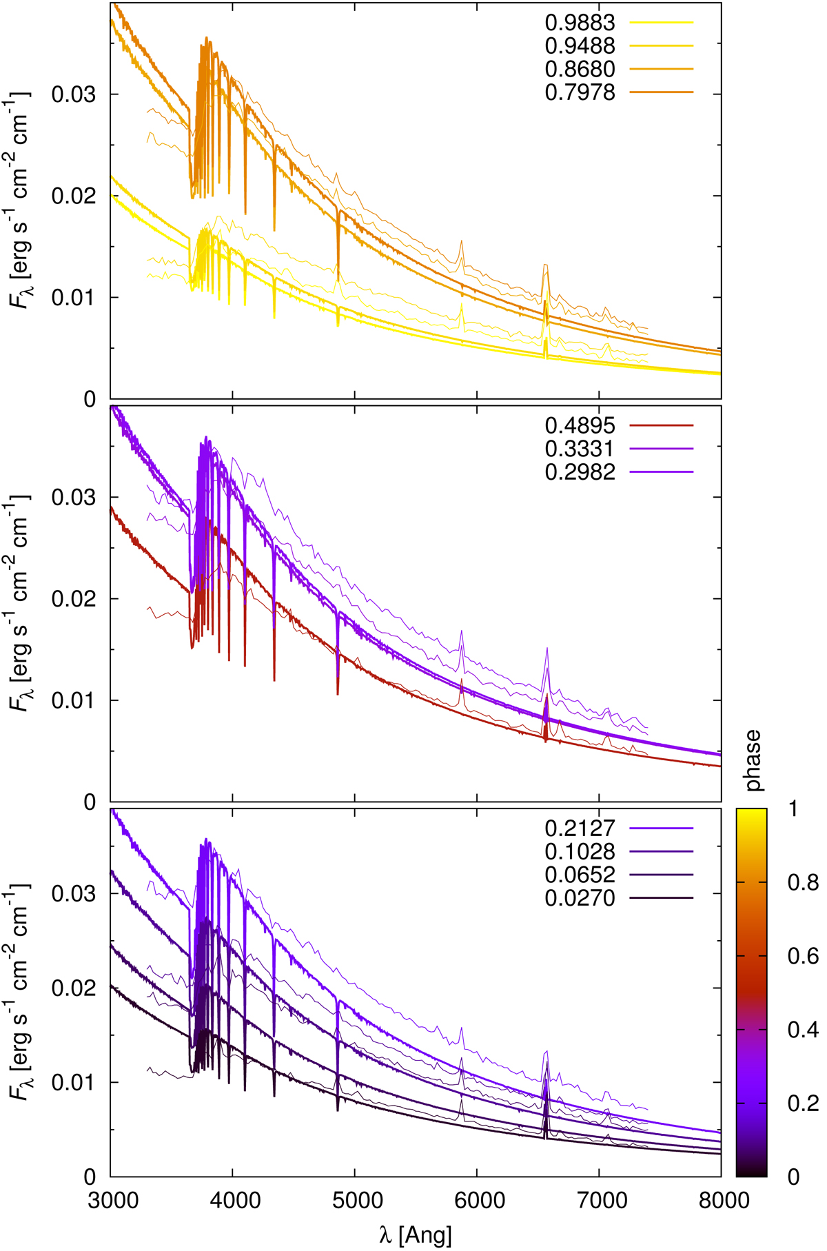
Fig. 14.

image

Comparison of synthetic spectral-energy distributions (thick lines) of β Lyr A and observed SED (thin lines) according to Burnashev & Skulskii (1978). The monochromatic flux Fλ (in erg s−1 cm−2 cm−1) was measured in the range of λ = 330–740 nm. The color scale correspond to the orbital phase. Observation uncertainties are on the order of 5%. The model (corresponding to a “nebula” with tinv = 4.53) was not converged with respect to these observations and the SEDs thus inevitably exhibit some systematic offsets.

Current usage metrics show cumulative count of Article Views (full-text article views including HTML views, PDF and ePub downloads, according to the available data) and Abstracts Views on Vision4Press platform.

Data correspond to usage on the plateform after 2015. The current usage metrics is available 48-96 hours after online publication and is updated daily on week days.

Initial download of the metrics may take a while.