Free Access

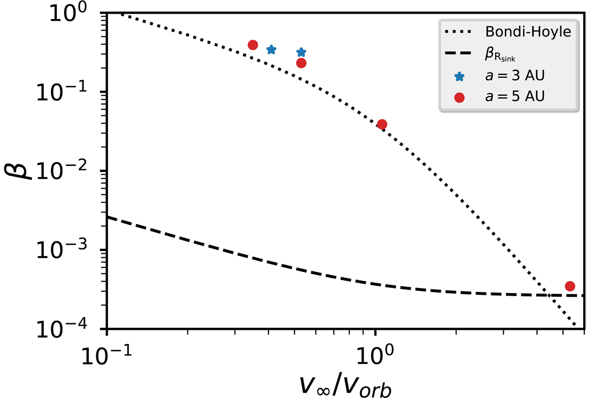
Fig. 8.

image

Fraction of mass accreted by the companion as a function of v/vorb. The dotted line corresponds to BHL accretion rate with BHL = 1, and the dashed line to the accretion rate for a geometrical cross section of size Rsink. Dots correspond to models in which the orbital separation is 5 AU and stars to models in which a = 3 AU. The values shown are measured at a radius of 0.4 RL,20.4RL,2).

Current usage metrics show cumulative count of Article Views (full-text article views including HTML views, PDF and ePub downloads, according to the available data) and Abstracts Views on Vision4Press platform.

Data correspond to usage on the plateform after 2015. The current usage metrics is available 48-96 hours after online publication and is updated daily on week days.

Initial download of the metrics may take a while.