Free Access

Fig. 5.

image

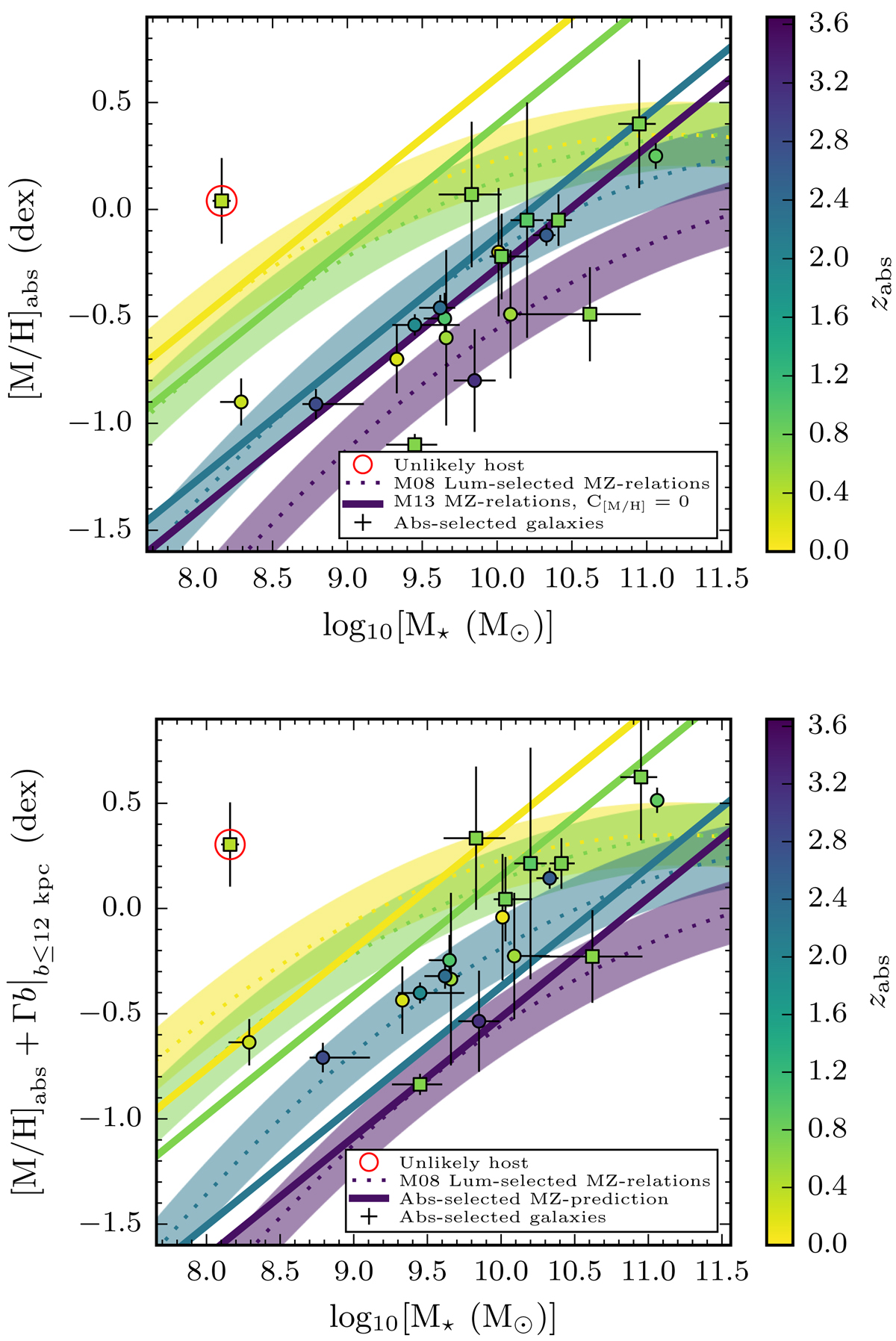
Metallicity as a function of stellar mass for spectroscopically confirmed absorbing galaxies, colour-coded by redshift. Squares indicate the results of this work, whereas circles refer to the absorption-selected reference sample. The M 08 mass-metallicity relations based on luminosity-selected samples, and the M 13 predicted mass-metallicity relations for absorption-selected samples are overplotted at four representative redshifts. Top panel: results assuming the metallicity measured in absorption. Bottom panel: results with an impact-parameter dependent correction factor and a gradient cut-off at a truncation radius of 12 kpc. The object encircled in red represents the outlier from Q 1209+107 PA2.

Current usage metrics show cumulative count of Article Views (full-text article views including HTML views, PDF and ePub downloads, according to the available data) and Abstracts Views on Vision4Press platform.

Data correspond to usage on the plateform after 2015. The current usage metrics is available 48-96 hours after online publication and is updated daily on week days.

Initial download of the metrics may take a while.