Free Access

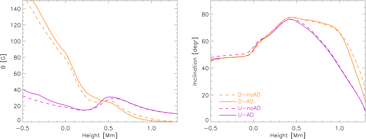
Fig. 1.

image

Left panel: time- and space-averaged modulus of the magnetic field strength as a function of height in the four simulation runs. Right panel: time- and space-averaged magnetic field inclinations with respect to the vertical direction. Orange solid: D-AD; orange dashed: D-noAD; violet solid: U-AD; violet dashed: U-noAD. The time averaging interval is 50 min.

Current usage metrics show cumulative count of Article Views (full-text article views including HTML views, PDF and ePub downloads, according to the available data) and Abstracts Views on Vision4Press platform.

Data correspond to usage on the plateform after 2015. The current usage metrics is available 48-96 hours after online publication and is updated daily on week days.

Initial download of the metrics may take a while.