Free Access

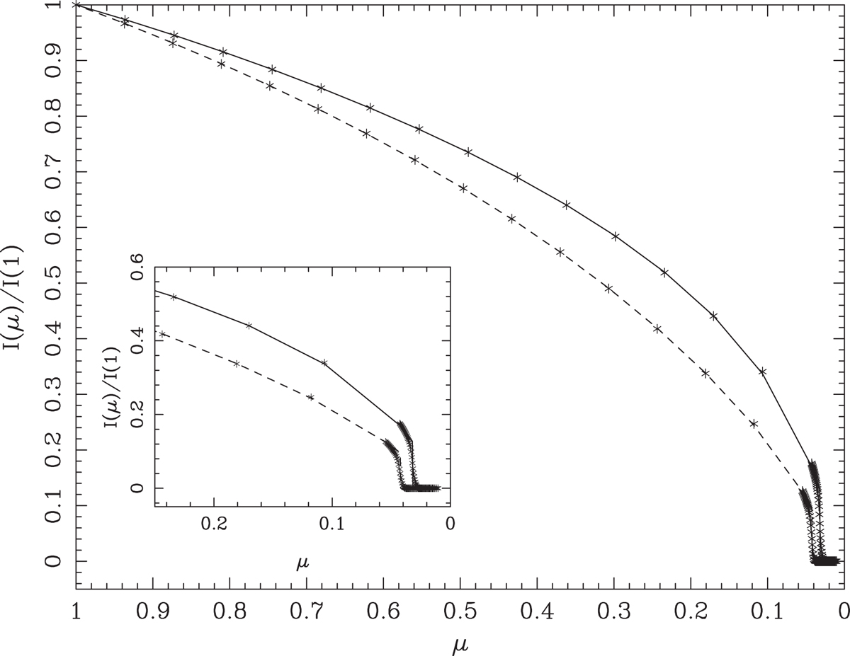
Fig. 3.

image

Specific intensity distribution for spherical symmetric models. The continuous line represents the [Teff=2800 K, log g = 5.0] PHOENIX-COND model and the dashed line denotes the corresponding [Teff = 2800 K, log g = 5.0] PHOENIX-DRIFT. Asterisks represent the model intensities. Both fittings were performed with the FSM. Eq. (1); Log[A/H]= 0.0; Vξ = 2 km s−1; TESS photometric system; LSM calculations.

Current usage metrics show cumulative count of Article Views (full-text article views including HTML views, PDF and ePub downloads, according to the available data) and Abstracts Views on Vision4Press platform.

Data correspond to usage on the plateform after 2015. The current usage metrics is available 48-96 hours after online publication and is updated daily on week days.

Initial download of the metrics may take a while.