Free Access

Fig. 5.

image

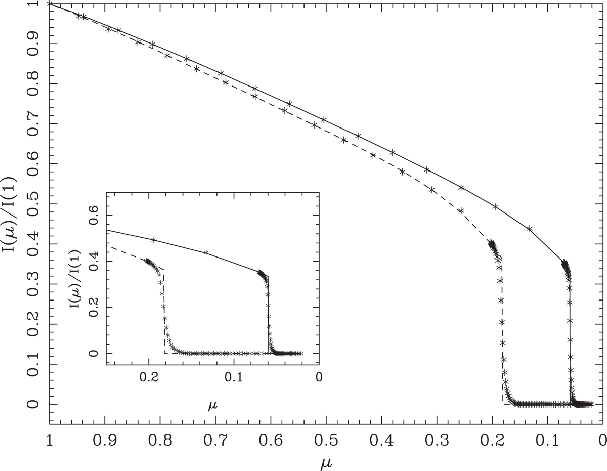
Effects of the local gravity on the specific intensity distribution. The continuous line represents the [Teff = 5600 K, log g = 4.5] model and the dashed line [Teff = 5600 K, log g = 2.5]. Asterisks represent the model intensities. Both fittings were performed with the FSM. Eq. (1); PHOENIX-COND spherical symmetric models; Log[A/H] = 0.0; Vξ = 2 km s−1; Kepler photometric system; LSM calculations.

Current usage metrics show cumulative count of Article Views (full-text article views including HTML views, PDF and ePub downloads, according to the available data) and Abstracts Views on Vision4Press platform.

Data correspond to usage on the plateform after 2015. The current usage metrics is available 48-96 hours after online publication and is updated daily on week days.

Initial download of the metrics may take a while.