Free Access

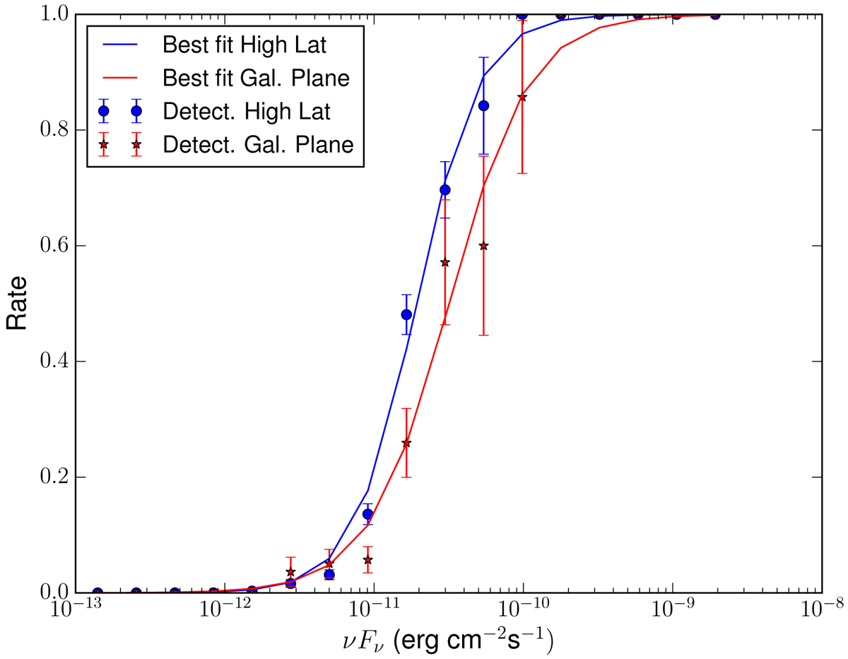
Fig. 2.

image

Detection rate as a function of the input flux of the simulated PS with random position in the sky (setup containing extrapolated 3FGL sources with randomized position, Appendix A.2). Each point represents the ratio of detected sources using PGWave with respect to the number of input sources with a flux value inside the flux bin. The error bars corresponds to the statistical uncertainty derived with the binomial law.

Current usage metrics show cumulative count of Article Views (full-text article views including HTML views, PDF and ePub downloads, according to the available data) and Abstracts Views on Vision4Press platform.

Data correspond to usage on the plateform after 2015. The current usage metrics is available 48-96 hours after online publication and is updated daily on week days.

Initial download of the metrics may take a while.