Free Access

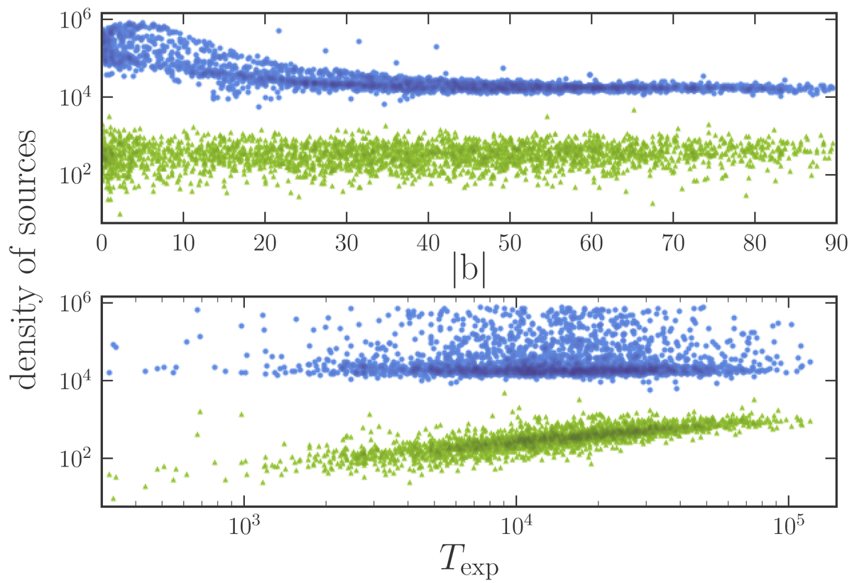
Fig. 1.

image

Sky density of sources for the 2623 non-overlapping fields we defined in the 3XMM/PS1 cross-match. Blue circles show the density of optical sources, green triangles the density of X-ray sources (darker shades show a higher density of data points). Top panel: sky density versus the absolute value of the Galactic latitude. Bottom panel: sky density versus exposure time of the XMM-Newton observation.

Current usage metrics show cumulative count of Article Views (full-text article views including HTML views, PDF and ePub downloads, according to the available data) and Abstracts Views on Vision4Press platform.

Data correspond to usage on the plateform after 2015. The current usage metrics is available 48-96 hours after online publication and is updated daily on week days.

Initial download of the metrics may take a while.