Free Access

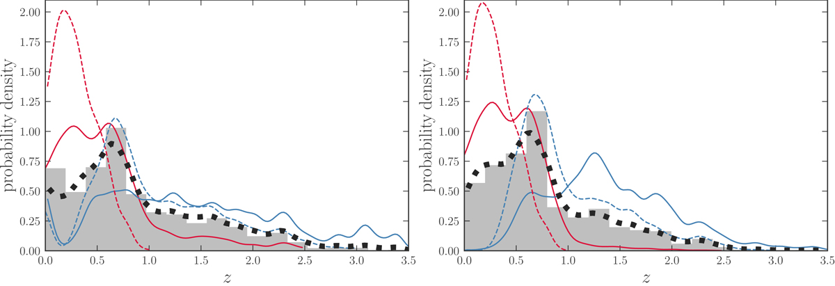
Fig. 13.

image

Normalised redshift distributions of XMMPZCAT sources. Left panel: full catalogue, with no filtering. Right panel: sources with peak strength greater or equal than 0.7 (see Sect. 5.1) and not classified as stars (see Sect. 5.2). The filled histogram shows the normalised distribution using the most probable redshift (the mode) for each source. Lines show the probability density of the sample estimated by adding all the corresponding PDFs. Red lines correspond to extended sources, blue lines to point-like sources. Solid lines represent ARCHES samples, dashed lines the Pan-STARRS samples. Dotted, black line represents the whole sample.

Current usage metrics show cumulative count of Article Views (full-text article views including HTML views, PDF and ePub downloads, according to the available data) and Abstracts Views on Vision4Press platform.

Data correspond to usage on the plateform after 2015. The current usage metrics is available 48-96 hours after online publication and is updated daily on week days.

Initial download of the metrics may take a while.