Free Access

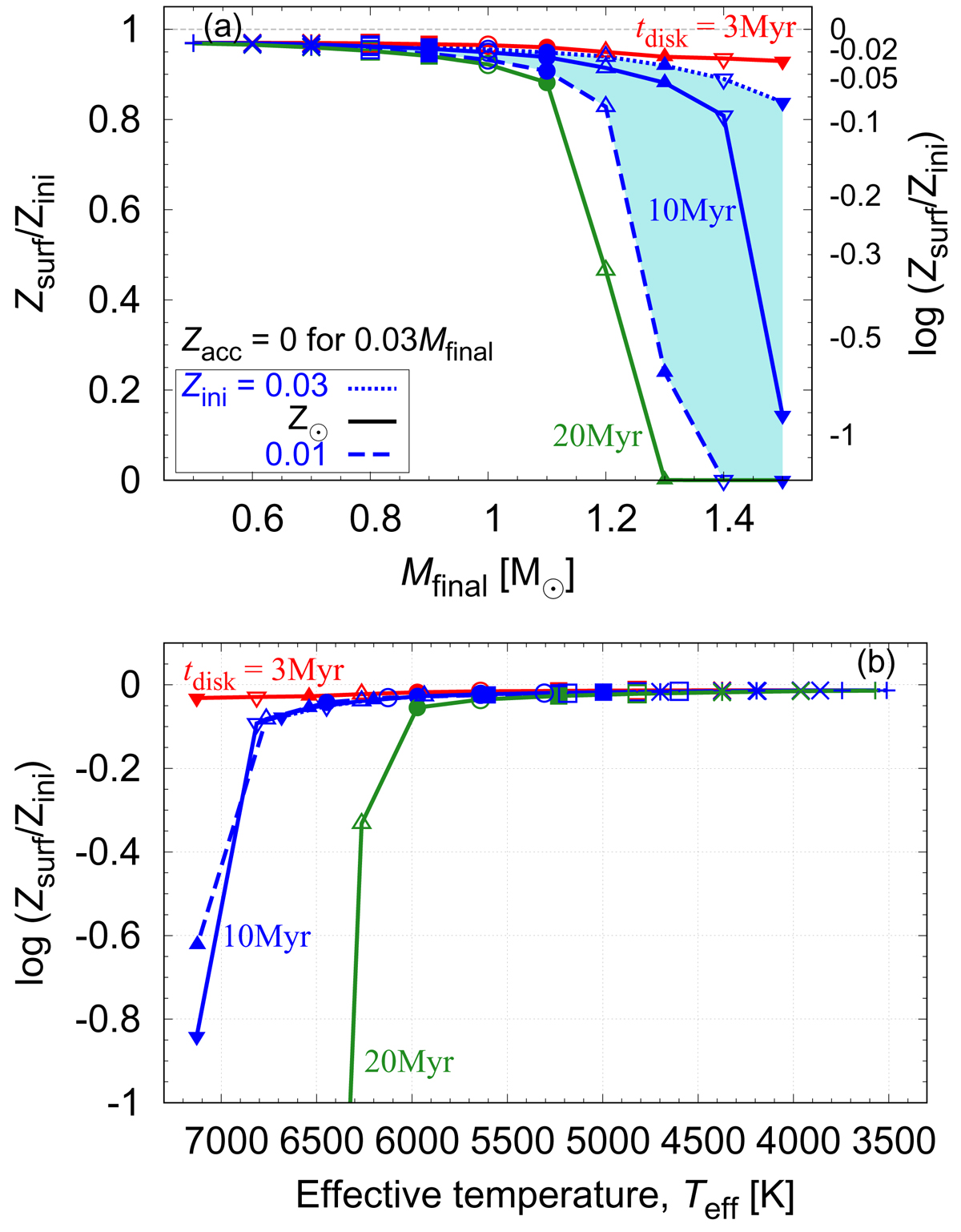
Fig. B.1.

image

The same figures as Figs. 8a and 8b, but with varying accretion history (tdisk, see text) and initial metallicity, Zini. The solid lines indicate the cases with Zini = Z(=0.0197) and tdisk = 3 (red line), 10 (blue) and 20 Myr (green) from top to bottom. The dotted and dashed lines represent the cases with Zini = 0.03 and 0.01, respectively, and with tdisk = 10 Myr. The other settings are fiducial ones, namely ΔM0 = 0.03 Mfinal, ξ = 0.1, the uniform heat distribution and XD = 28 ppm). In the bottom panel, the cases with Zini = 0.01 (blue dashed) and Mfinal ≤ 1.4 M are not plotted because Zsurf = 0. We adopt Teff at 0.3 Gyr when all stars are in their MS.

Current usage metrics show cumulative count of Article Views (full-text article views including HTML views, PDF and ePub downloads, according to the available data) and Abstracts Views on Vision4Press platform.

Data correspond to usage on the plateform after 2015. The current usage metrics is available 48-96 hours after online publication and is updated daily on week days.

Initial download of the metrics may take a while.