Free Access

Fig. 6.

image

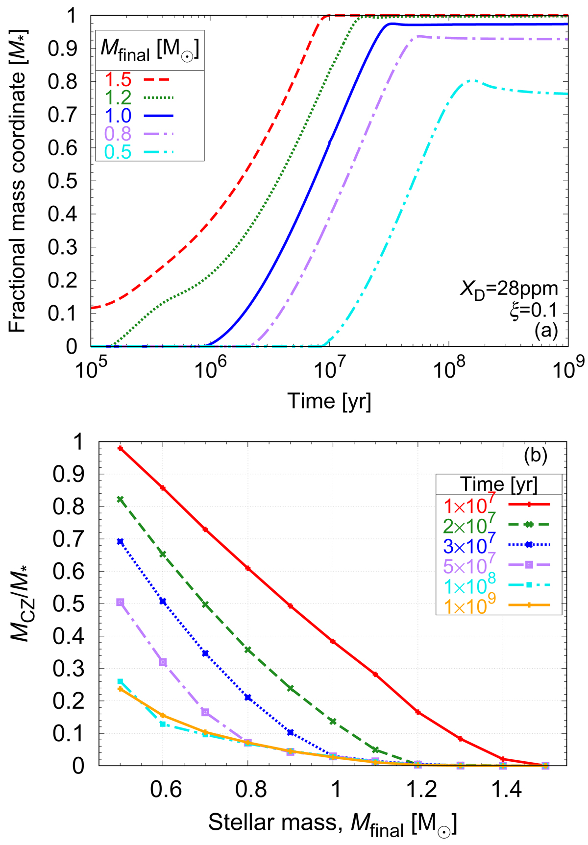
Top panel: temporal evolution of the surface CZ base for the following final stellar masses: Mfinal = 1.5, 1.2, 1, 0.8 and 0.5 M from top to bottom. In all cases, accretion stops at 107 years, and ξ = 0.1, XD = 28 ppm and a uniform heat distribution are assumed. Bottom panel: mass fraction of the CZ as a function of stellar mass. The lines from top to bottom denote the temporal evolution from 107 to 109 yr.

Current usage metrics show cumulative count of Article Views (full-text article views including HTML views, PDF and ePub downloads, according to the available data) and Abstracts Views on Vision4Press platform.

Data correspond to usage on the plateform after 2015. The current usage metrics is available 48-96 hours after online publication and is updated daily on week days.

Initial download of the metrics may take a while.