Free Access

Fig. 8.

image

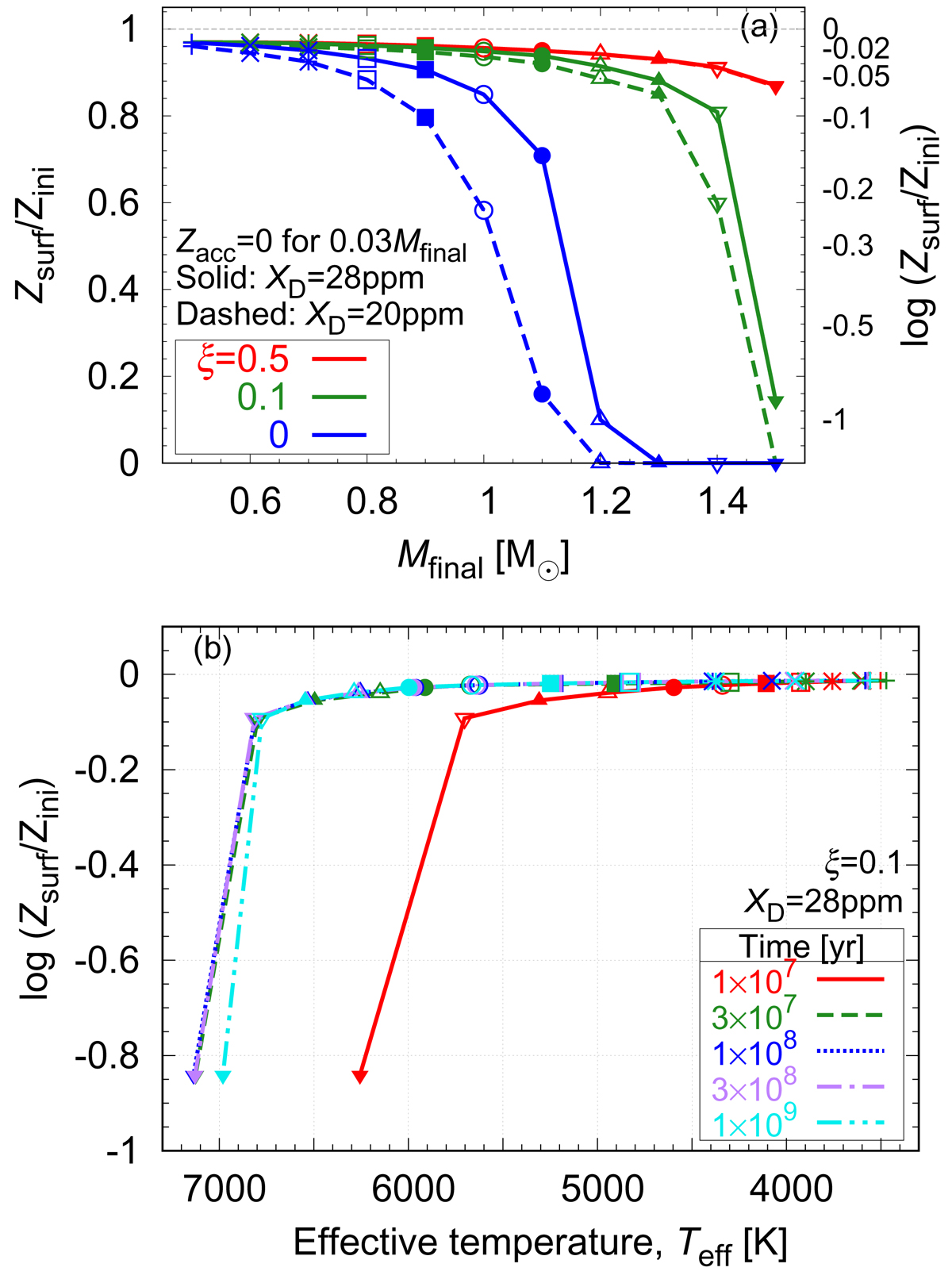
Top panel: stellar surface metallicity (normalized by the initial metallicity) after a metal-free accretion during the last 0.03 Mfinal as a function of stellar mass. The solid and dashed lines denote the cases with XD = 28 and 20 ppm, respectively, and ξ = 0.5, 0.1 and 0 from top to bottom. In the ξ = 0.5 case, both lines are overlapped. Bottom panel: surface metallicity as a function of the stellar effective temperature, Teff, in the case with ξ = 0.1 and XD = 28 ppm (the green dashed line in the top panel). The same points are used as in the top panel.

Current usage metrics show cumulative count of Article Views (full-text article views including HTML views, PDF and ePub downloads, according to the available data) and Abstracts Views on Vision4Press platform.

Data correspond to usage on the plateform after 2015. The current usage metrics is available 48-96 hours after online publication and is updated daily on week days.

Initial download of the metrics may take a while.