Free Access

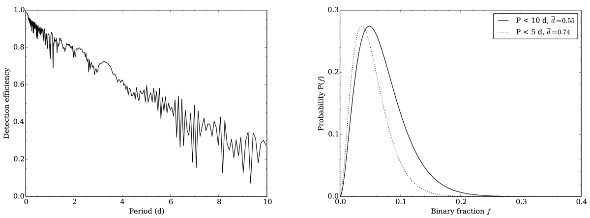
Fig. 11.

image

Left: average detection efficiency versus period for the 75 stars of the VIMOS sample. Right: probability curve of having a binary fraction f in our VIMOS sample for binaries with periods shorter than 10 days (solid) and shorter than 5 days (dotted).

Current usage metrics show cumulative count of Article Views (full-text article views including HTML views, PDF and ePub downloads, according to the available data) and Abstracts Views on Vision4Press platform.

Data correspond to usage on the plateform after 2015. The current usage metrics is available 48-96 hours after online publication and is updated daily on week days.

Initial download of the metrics may take a while.