Free Access

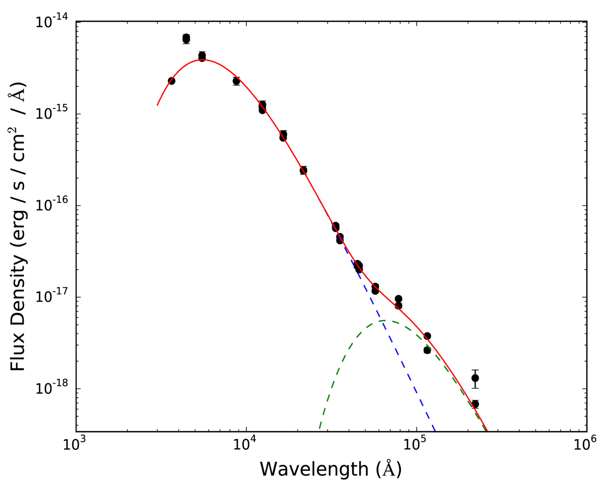
Fig. 10.

image

SED of OGLE-LMC-T2CEP-129 fitted using black bodies at temperatures of ∼5240 K (stellar component shown in blue dashed line) and 440 K (dust component shown in green dashed line). The red line shows the best fit to the data.

Current usage metrics show cumulative count of Article Views (full-text article views including HTML views, PDF and ePub downloads, according to the available data) and Abstracts Views on Vision4Press platform.

Data correspond to usage on the plateform after 2015. The current usage metrics is available 48-96 hours after online publication and is updated daily on week days.

Initial download of the metrics may take a while.