Free Access

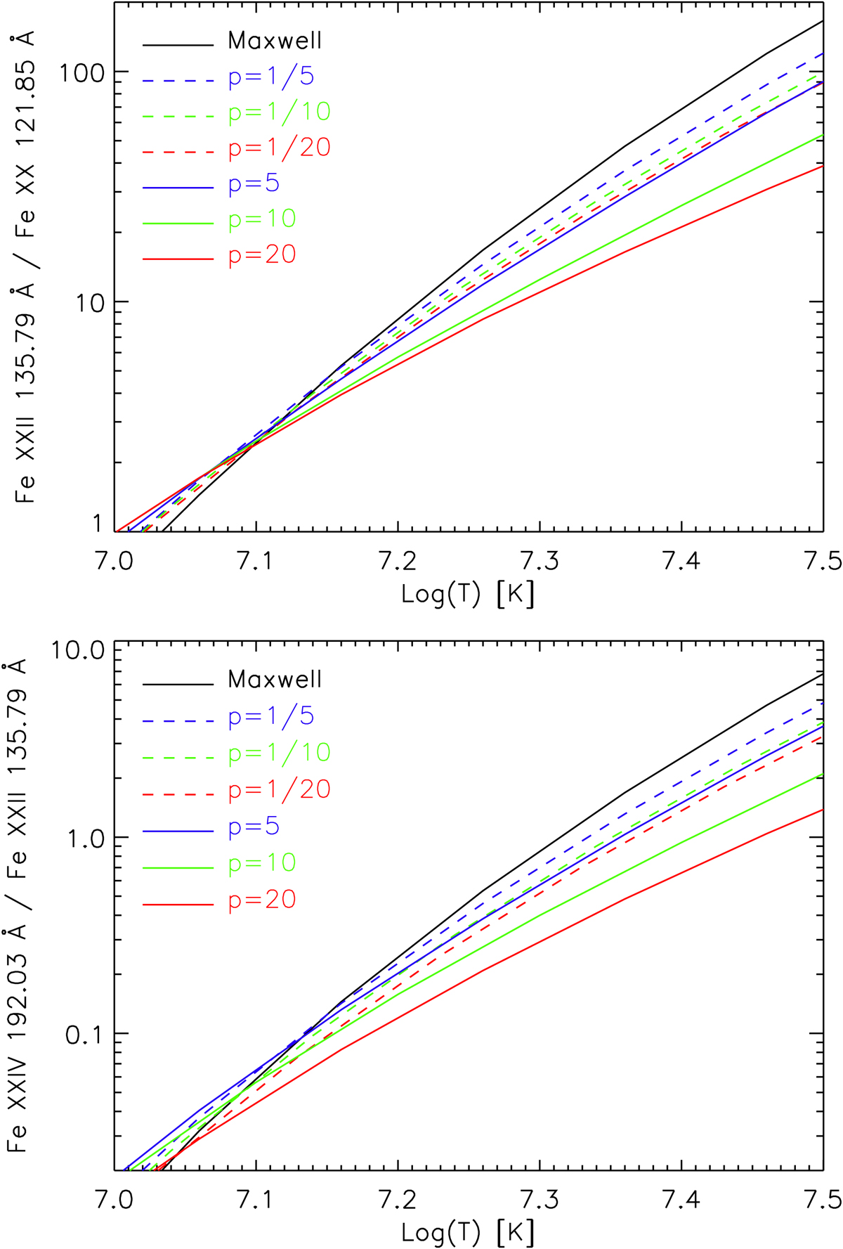
Fig. 5.

image

The ratio of Fe XXII 135.8 Å/Fe XX 121.8 Å (upper) and Fe XXIV 192.0 Å/Fe XXII 135.8 Å (bottom) as a function of temperature for the Maxwellian distribution (black full line) and different bi-Maxwellian distributions with p = 1/5 (blue dashed lines), 1/10 (green dashed lines), 1/20 (red dashed lines), and p = 5 (blue full lines), 10 (green full lines), and 20 (red full lines).

Current usage metrics show cumulative count of Article Views (full-text article views including HTML views, PDF and ePub downloads, according to the available data) and Abstracts Views on Vision4Press platform.

Data correspond to usage on the plateform after 2015. The current usage metrics is available 48-96 hours after online publication and is updated daily on week days.

Initial download of the metrics may take a while.