Free Access

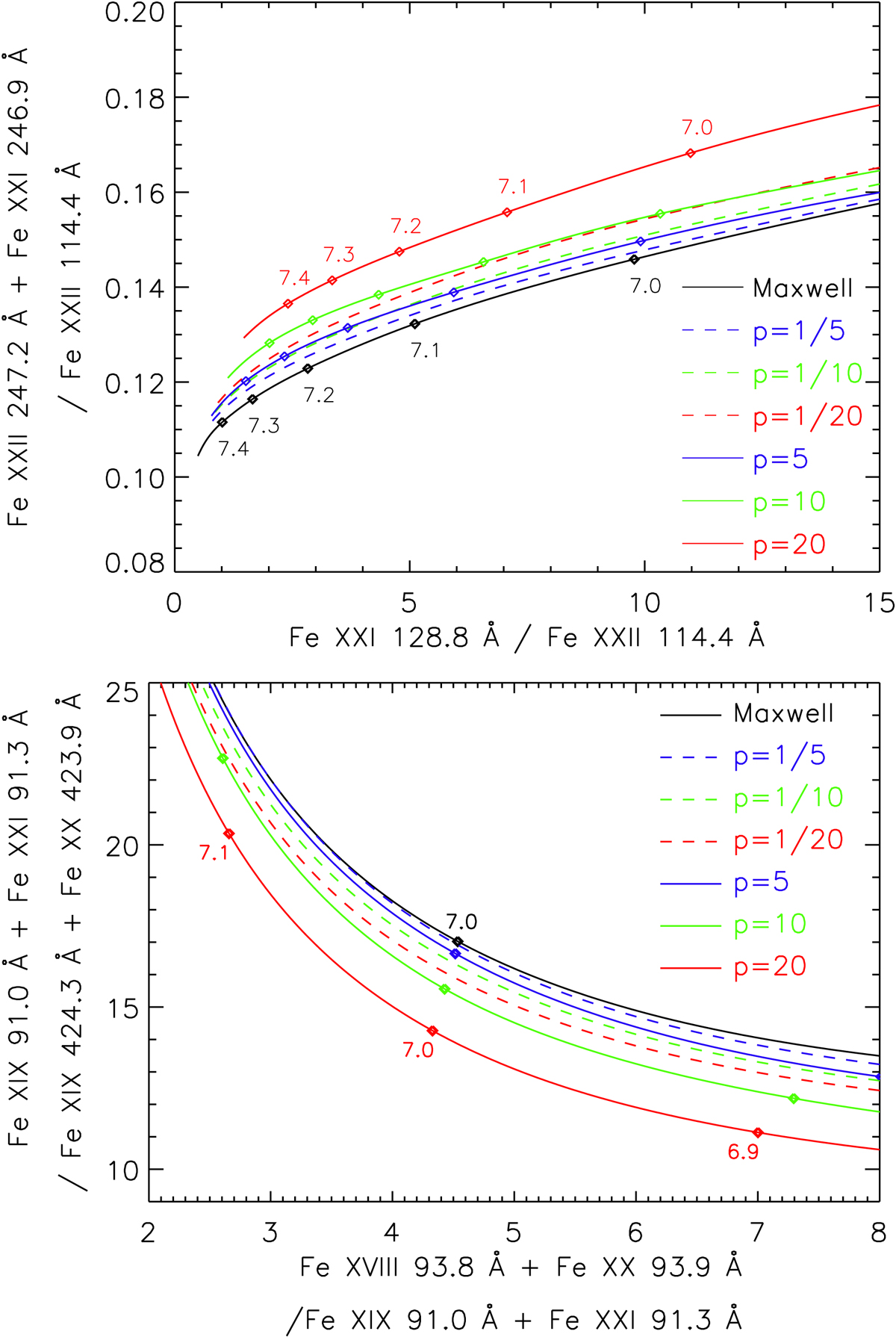
Fig. 7.

image

Diagnostics of the parameter p of bi-Maxwellian distributions from line ratios of Fe XXII an Fe XXI (upper) and from line ratios of Fe XVIII, Fe XIX and Fe XX (bottom). The line coding is the same as in Fig. 5. Labels mark points corresponding to log(T) for the Maxwellian distribution (black) and bi-Maxwellian distribution with p = 20 (red). Numbers correspond to the Log(T).

Current usage metrics show cumulative count of Article Views (full-text article views including HTML views, PDF and ePub downloads, according to the available data) and Abstracts Views on Vision4Press platform.

Data correspond to usage on the plateform after 2015. The current usage metrics is available 48-96 hours after online publication and is updated daily on week days.

Initial download of the metrics may take a while.