Free Access

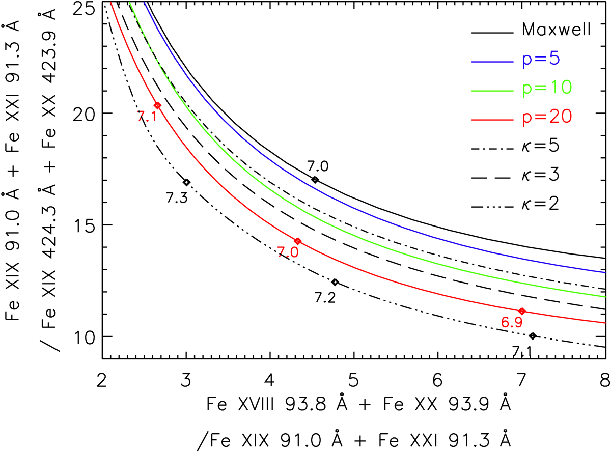
Fig. 8.

image

The comparison of diagnostic ratio–ratio diagrams for the bi-Maxellian distribution with p = 5 (green line), 10 (blue line), 20 (red line) with the diagnostic ratio–ratio diagrams for the κ-distributions with κ = 5 (dot-dashed black line), 3 (dashed black line), and 2 (dot-dot-dot-dashed black line). Numbers correspond to the Log(T).

Current usage metrics show cumulative count of Article Views (full-text article views including HTML views, PDF and ePub downloads, according to the available data) and Abstracts Views on Vision4Press platform.

Data correspond to usage on the plateform after 2015. The current usage metrics is available 48-96 hours after online publication and is updated daily on week days.

Initial download of the metrics may take a while.