Free Access

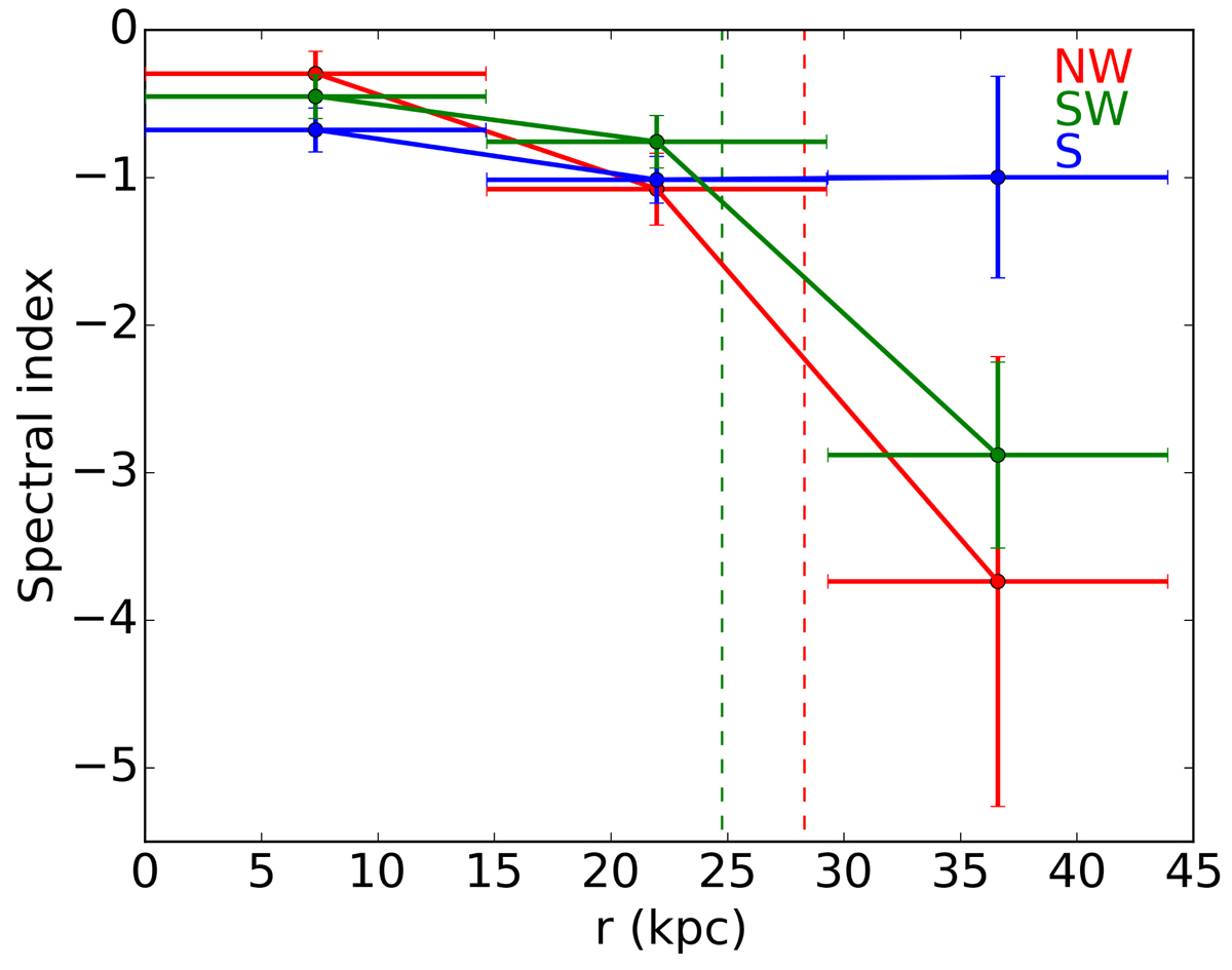
Fig. 11.

image

Spectral index between 610 MHz and 235 MHz. The vertical lines show the positions of the NW (red) and the SW (green) edges. In addition to the statistical errors, the errors of the spectral index include 10% uncertainty in the flux scale of the two frequencies used.

Current usage metrics show cumulative count of Article Views (full-text article views including HTML views, PDF and ePub downloads, according to the available data) and Abstracts Views on Vision4Press platform.

Data correspond to usage on the plateform after 2015. The current usage metrics is available 48-96 hours after online publication and is updated daily on week days.

Initial download of the metrics may take a while.