Free Access

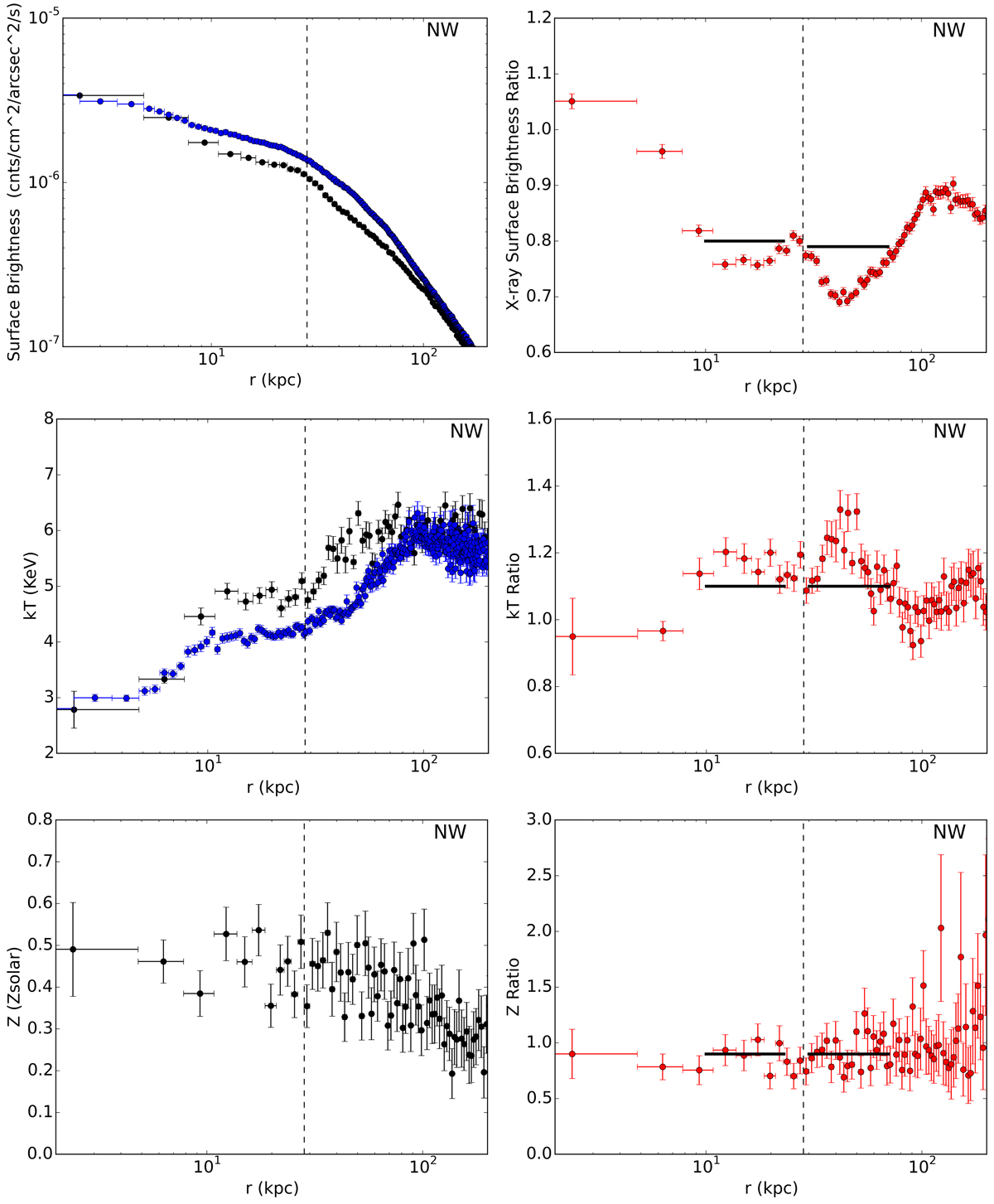
Fig. 8.

image

X-ray radial profiles along the NW direction. Top left: surface brightness profile along the NW (black) and average surface brightness profile (blue). Top right: ratio of the X-ray surface brightness profile toward the NW to the average X-ray surface brightness profile. Middle left: temperature profile along the NW (black) and average temperature profile (blue). Middle right: ratio of the temperature profile toward the NW to the average temperature profile. Bottom left: metallicity profile along the NW. Bottom right: ratio of the metallicity profile toward the NW to the average metallicity profile. The average metallicity profile can be seen in Fig. 12. The black stripes show the extent of the depressions as constrained from the X-ray surface brightness ratio profile. The vertical dashed line indicates the position of the NW edge as determined from the X-ray residual map (Fig. 7).

Current usage metrics show cumulative count of Article Views (full-text article views including HTML views, PDF and ePub downloads, according to the available data) and Abstracts Views on Vision4Press platform.

Data correspond to usage on the plateform after 2015. The current usage metrics is available 48-96 hours after online publication and is updated daily on week days.

Initial download of the metrics may take a while.