Free Access

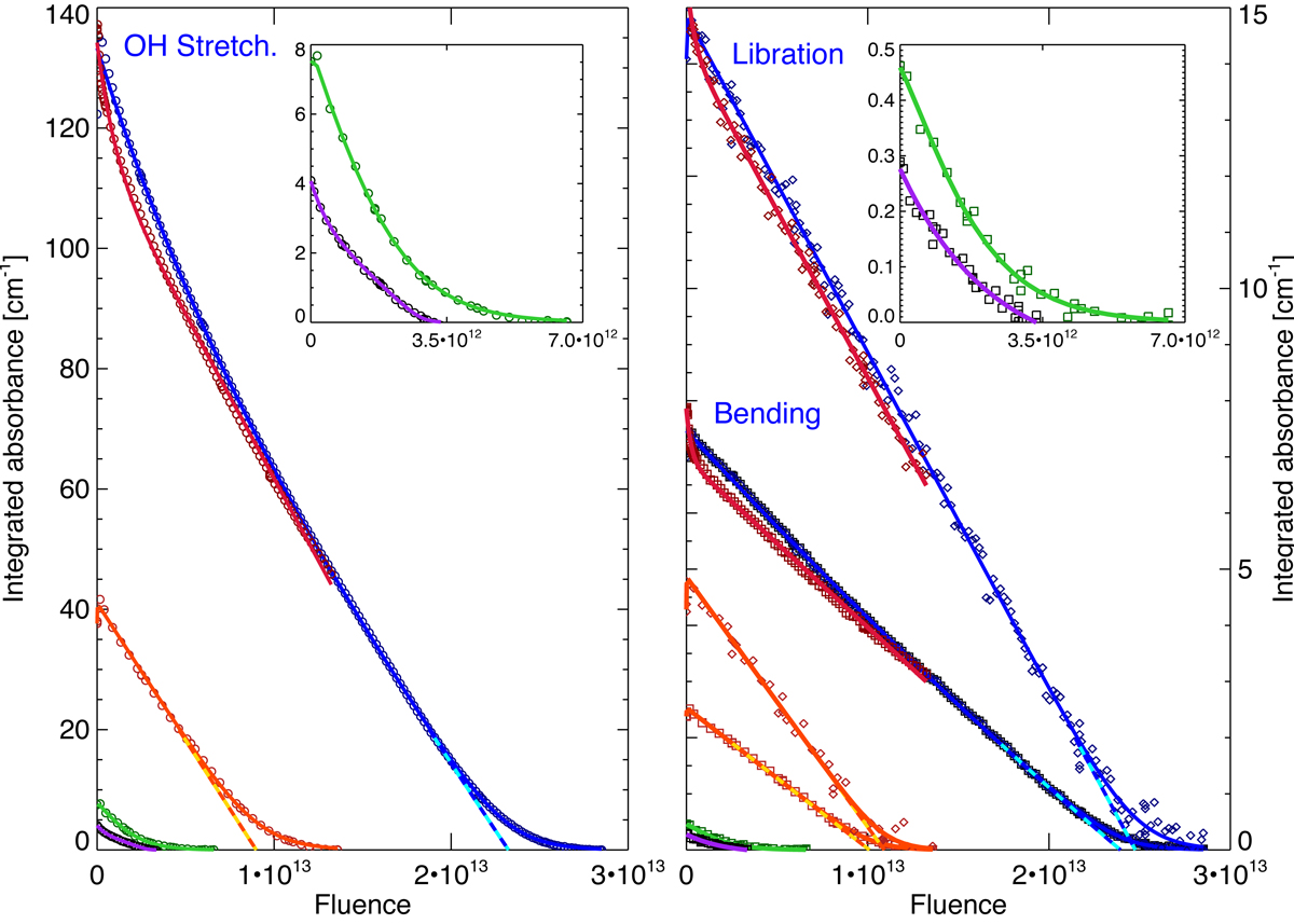
Fig. 3.

image

Infrared integrated absorbance measured as a function of ion fluence for ice films of various initial thicknesses, measured at 10 K in the OH stretching mode (circles, left), bending and libration modes (right, squares and diamond, respectively). The different colours correspond to the experiments summarised in Table 1: orange (27W1), purple (27W2), green (27W3), red (29W1), and blue (30W2). The model fits are superimposed with the same colour for the various IR modes corresponding to a single experiment. The dashed lines represent models in which the sputtering yield would be independent of the thickness.

Current usage metrics show cumulative count of Article Views (full-text article views including HTML views, PDF and ePub downloads, according to the available data) and Abstracts Views on Vision4Press platform.

Data correspond to usage on the plateform after 2015. The current usage metrics is available 48-96 hours after online publication and is updated daily on week days.

Initial download of the metrics may take a while.