Free Access

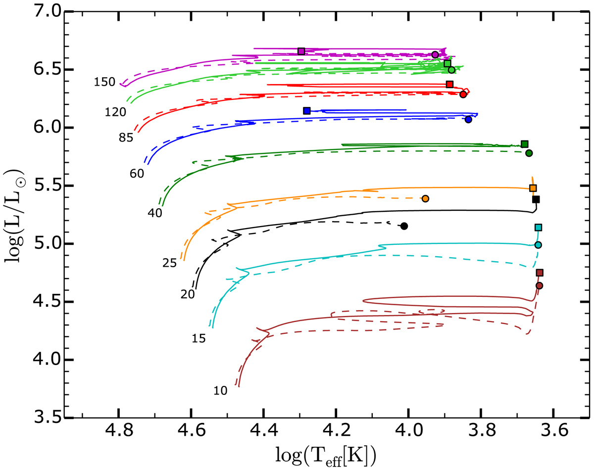
Fig. 11.

image

Tracks of the models in the Hertzsprung–Russell diagram. Dashed and solid lines show non-rotating and rotating models respectively. Circles and squares denote the endpoint of the evolution for the non-rotating and rotating models, respectively.

Current usage metrics show cumulative count of Article Views (full-text article views including HTML views, PDF and ePub downloads, according to the available data) and Abstracts Views on Vision4Press platform.

Data correspond to usage on the plateform after 2015. The current usage metrics is available 48-96 hours after online publication and is updated daily on week days.

Initial download of the metrics may take a while.