Free Access

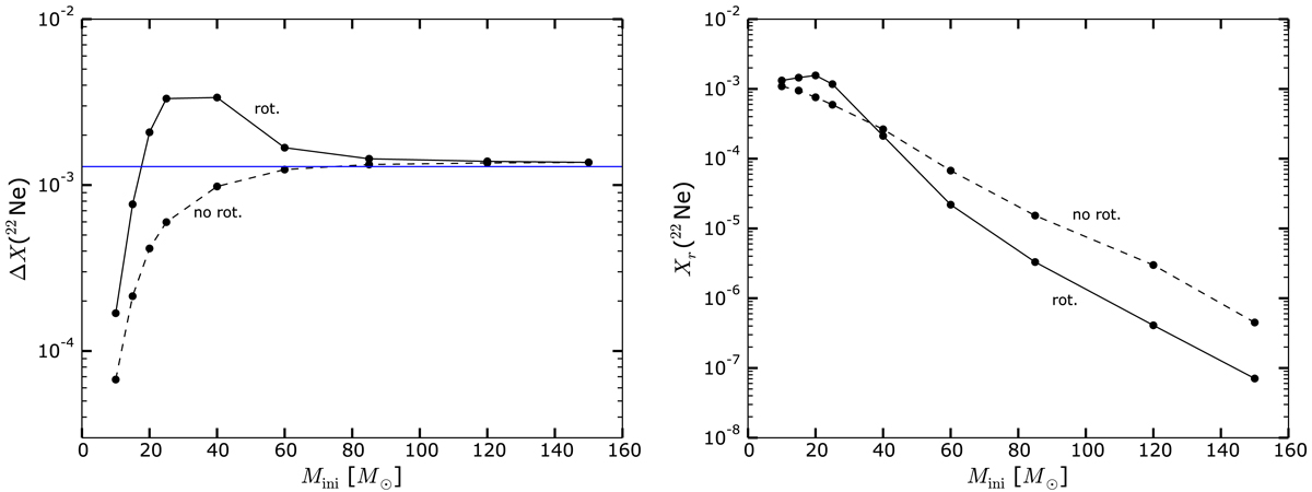
Fig. 3.

image

Mass fraction of burnt (left panel) and remaining (right panel) 22Ne at the end of core helium burning as a function of initial mass. The blue line on the left panel shows the sum of the initial mass fraction of CNO isotopes.

Current usage metrics show cumulative count of Article Views (full-text article views including HTML views, PDF and ePub downloads, according to the available data) and Abstracts Views on Vision4Press platform.

Data correspond to usage on the plateform after 2015. The current usage metrics is available 48-96 hours after online publication and is updated daily on week days.

Initial download of the metrics may take a while.