Free Access

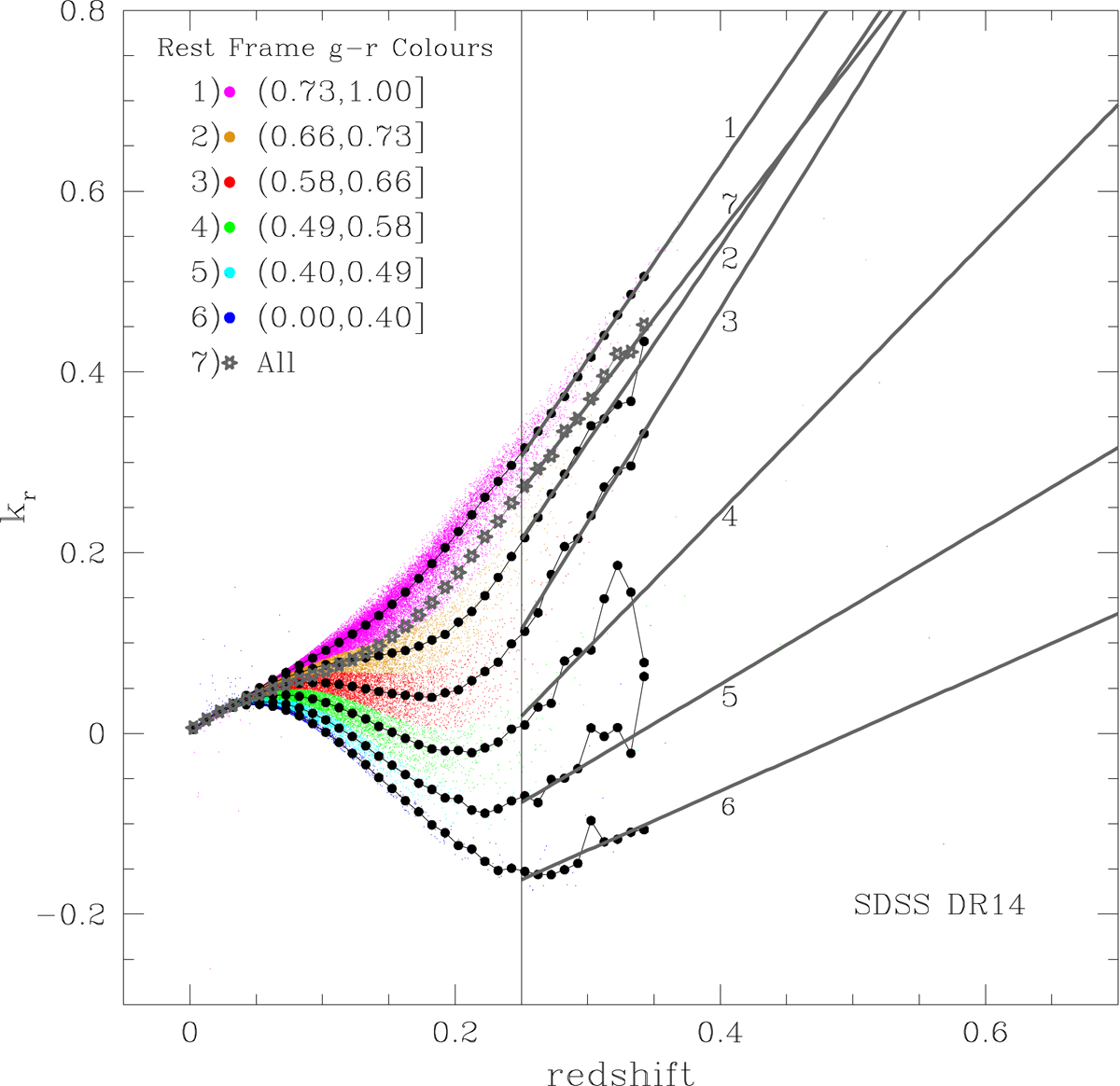
Fig. A.1.

image

k-correction vs redshift for galaxies in the SDSS DR14 split by rest-frame colours (see inset labels). k-corrections are computed using Chilingarian & Zolotukhin 2012. Black dots are the median values of the k-corrections for a given redshift bin for each colour range. Grey stars are the medians for the whole sample of galaxies regardless their colour. Black straight lines are the linear fits to the dots with redshift greater than 0.25 (vertical solid line).

Current usage metrics show cumulative count of Article Views (full-text article views including HTML views, PDF and ePub downloads, according to the available data) and Abstracts Views on Vision4Press platform.

Data correspond to usage on the plateform after 2015. The current usage metrics is available 48-96 hours after online publication and is updated daily on week days.

Initial download of the metrics may take a while.