Free Access

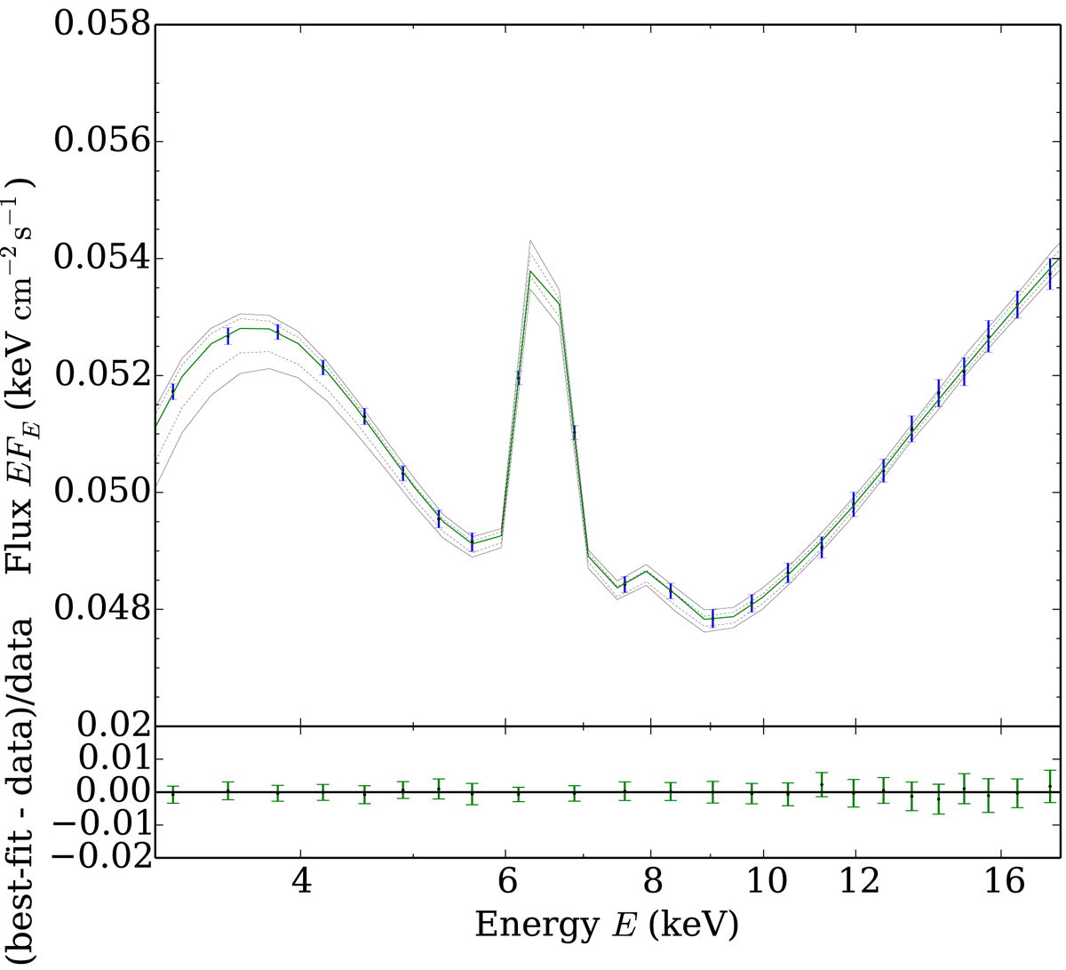
Fig. 4.

image

Time-averaged spectrum for the synthetic data. The lower panel shows the residuals. The contours and the symbols are the same as in Fig. 3. The 0.5% calibration error of the detector, used in the fitting procedure, is not included to the error bars.

Current usage metrics show cumulative count of Article Views (full-text article views including HTML views, PDF and ePub downloads, according to the available data) and Abstracts Views on Vision4Press platform.

Data correspond to usage on the plateform after 2015. The current usage metrics is available 48-96 hours after online publication and is updated daily on week days.

Initial download of the metrics may take a while.