Open Access

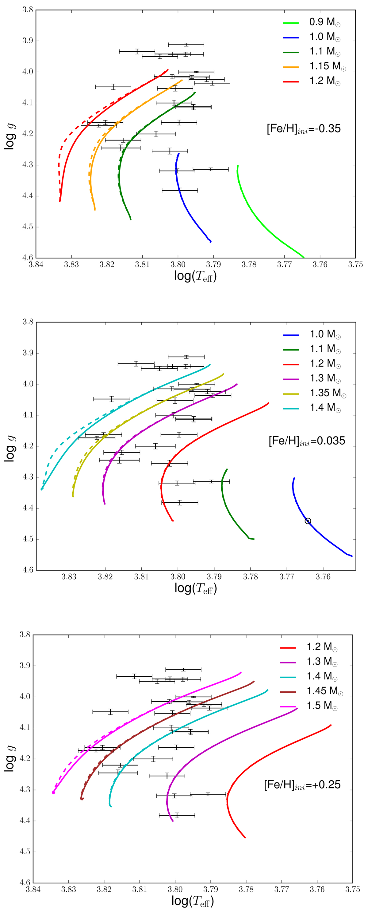
Fig. 2.

image

HR diagrams for initial [Fe/H]ini = −0.35 (top panel), [Fe/H]ini = 0.035 (middle panel), and [Fe/H]ini = +0.25 (lower panel). The dashed curves represent models without grad and the solid curves represent models including grad. Black symbols are stars from the Kepler Legacy sample (Lund et al. 2017; Silva Aguirre et al. 2017).

Current usage metrics show cumulative count of Article Views (full-text article views including HTML views, PDF and ePub downloads, according to the available data) and Abstracts Views on Vision4Press platform.

Data correspond to usage on the plateform after 2015. The current usage metrics is available 48-96 hours after online publication and is updated daily on week days.

Initial download of the metrics may take a while.