Open Access

Fig. 5.

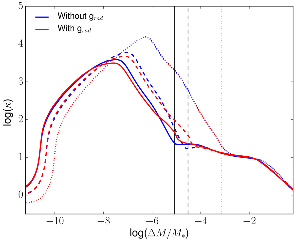
image

Rosseland opacity profiles of the 1.4 M of grid 2 for XC = 0.6 (solid curves), XC = 0.4 (dashed curves), and XC = 0.2 (dotted curves). The blue and red curves represent respectively the models without and with grad. The solid dashed and dotted vertical lines represent the position of the bottom of the surface convection zone for the model without grad for the same value of XC as the opacity profiles (for clarity, they are not represented for the model with grad).

Current usage metrics show cumulative count of Article Views (full-text article views including HTML views, PDF and ePub downloads, according to the available data) and Abstracts Views on Vision4Press platform.

Data correspond to usage on the plateform after 2015. The current usage metrics is available 48-96 hours after online publication and is updated daily on week days.

Initial download of the metrics may take a while.