Free Access

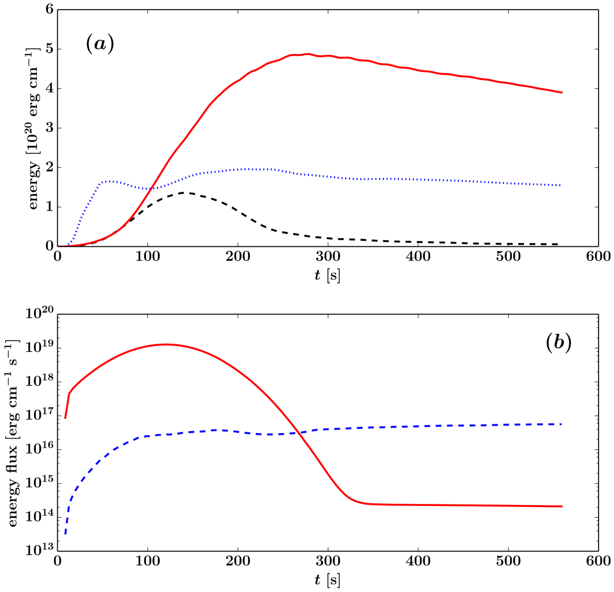
Fig. 8.

image

Panel a: temporal evolution of total kinetic energy (black dashed line), thermal energy (red solid line), and magnetic energy (blue dotted line) for hot plasma (T ≥ 5 MK); panel b: evolution of background heating flux (red solid line), and radiative cooling (blue dashed line) for hot plasma.

Current usage metrics show cumulative count of Article Views (full-text article views including HTML views, PDF and ePub downloads, according to the available data) and Abstracts Views on Vision4Press platform.

Data correspond to usage on the plateform after 2015. The current usage metrics is available 48-96 hours after online publication and is updated daily on week days.

Initial download of the metrics may take a while.