Free Access

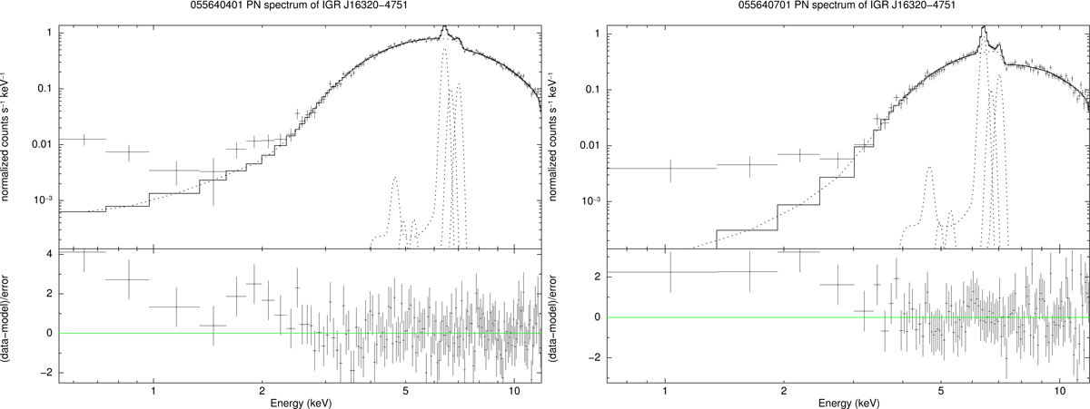
Fig. 5.

image

XMM-Newton PN spectra and best-fit model of IGR J16320–4751 in two extreme cases. Left panel: background-subtracted X-ray spectra of ObsID 401. Right panel: background-subtracted X-ray spectra of ObsID 701. Lower panels: fitting residuals. Errors are at 1-σ (68%) confidence levels, and χ 2 statistics are used.

Current usage metrics show cumulative count of Article Views (full-text article views including HTML views, PDF and ePub downloads, according to the available data) and Abstracts Views on Vision4Press platform.

Data correspond to usage on the plateform after 2015. The current usage metrics is available 48-96 hours after online publication and is updated daily on week days.

Initial download of the metrics may take a while.