Free Access

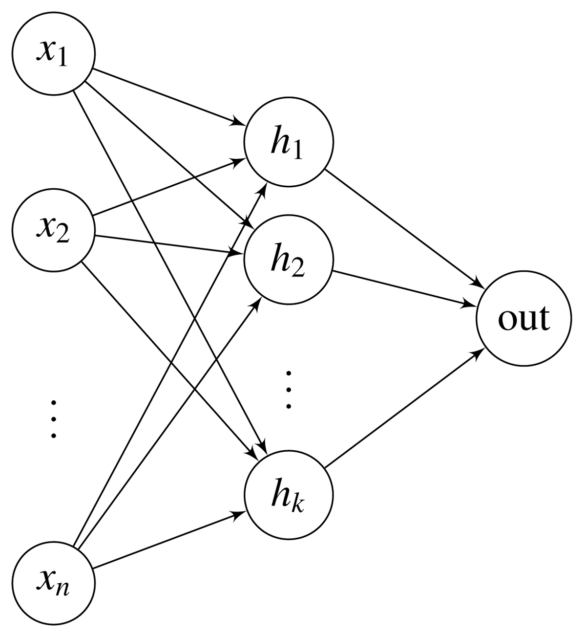
Fig. 4.

image

Schematic representation of a multilayer perceptron with one hidden layer. The xi values represent the input data. The hi labels represent neurons in the hidden layer.

Current usage metrics show cumulative count of Article Views (full-text article views including HTML views, PDF and ePub downloads, according to the available data) and Abstracts Views on Vision4Press platform.

Data correspond to usage on the plateform after 2015. The current usage metrics is available 48-96 hours after online publication and is updated daily on week days.

Initial download of the metrics may take a while.