Free Access

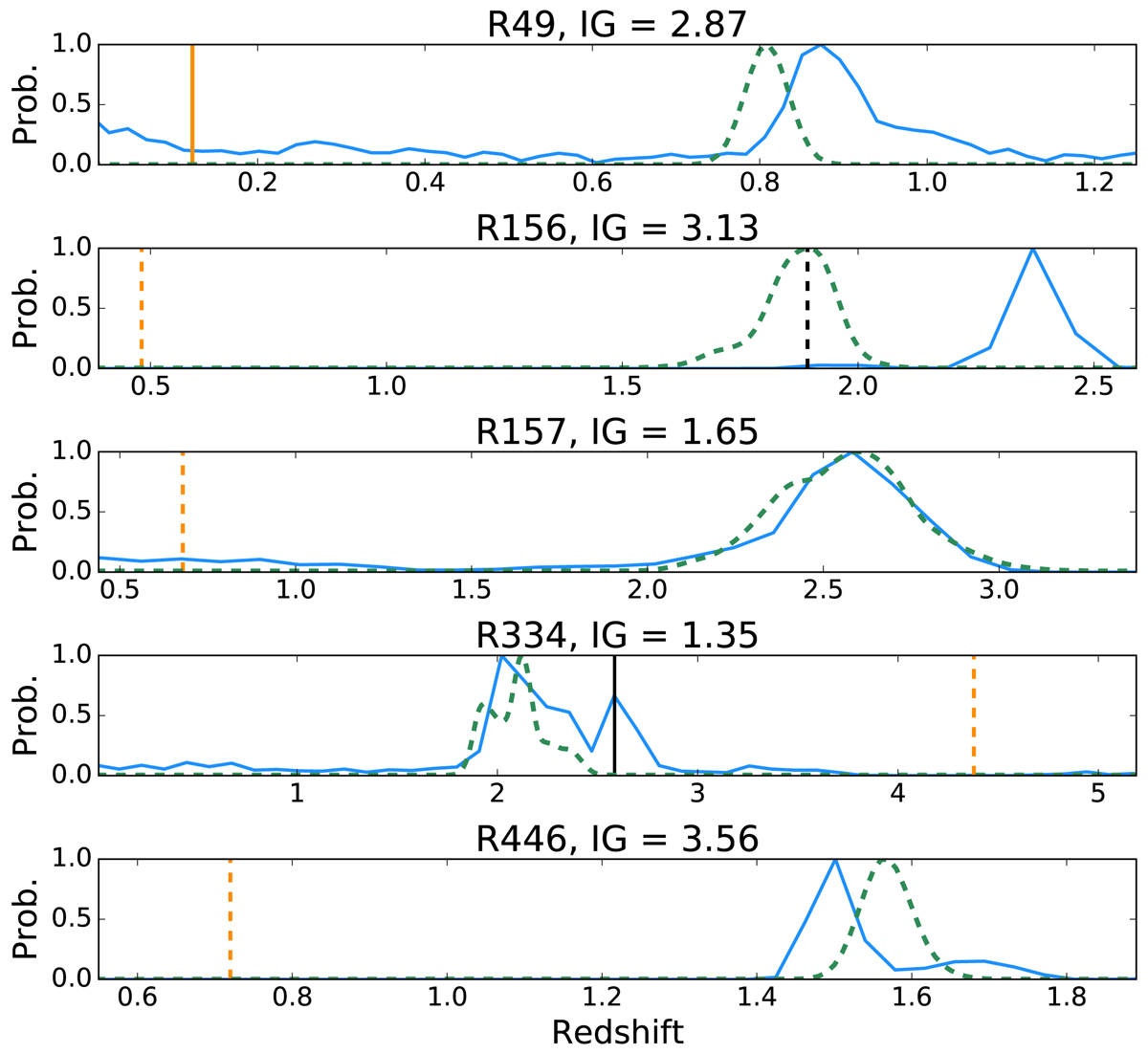
Fig. 10.

image

Normalized redshift probability distributions where XZ (blue solid) and photoz (green dashed) agree but are different than the specz values (orange vertical lines). Black vertical lines in R156 and R334 show updated specz values from Balestra et al. (2010) and Barro et al. (2014), respectively, which agree with the photoz and XZ. Dashed vertical lines show insecure specz values.

Current usage metrics show cumulative count of Article Views (full-text article views including HTML views, PDF and ePub downloads, according to the available data) and Abstracts Views on Vision4Press platform.

Data correspond to usage on the plateform after 2015. The current usage metrics is available 48-96 hours after online publication and is updated daily on week days.

Initial download of the metrics may take a while.