Free Access

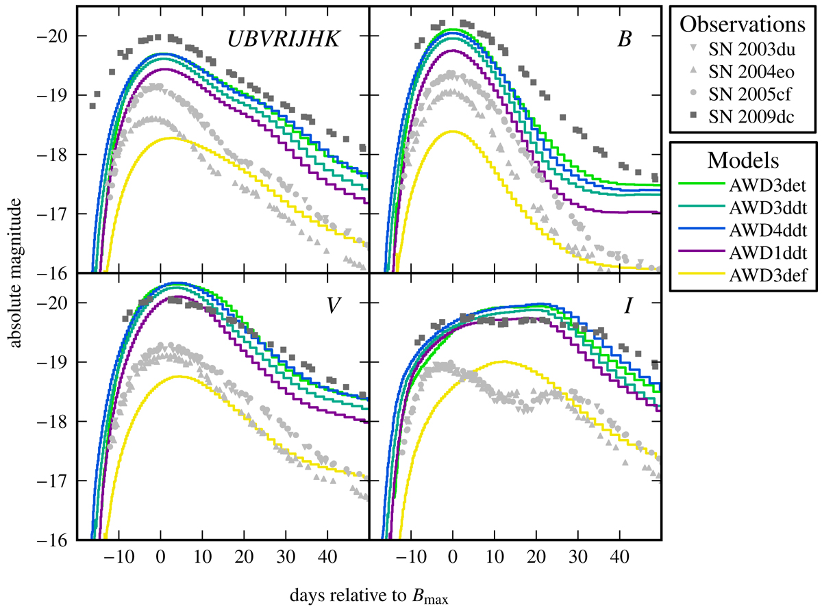
Fig. 6.

image

Angle-averaged synthetic lightcurves of our models, compared with the superluminous SN Ia SN 2009dc (dark gray squares) and “normal” SNe Ia SN 2005cf (gray dots), SN 2004eo (gray triangles), and SN 2003du (gray inverted triangles).

Current usage metrics show cumulative count of Article Views (full-text article views including HTML views, PDF and ePub downloads, according to the available data) and Abstracts Views on Vision4Press platform.

Data correspond to usage on the plateform after 2015. The current usage metrics is available 48-96 hours after online publication and is updated daily on week days.

Initial download of the metrics may take a while.